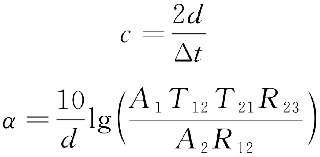
二等奖 多相非均质玻璃纤维增强树脂基复合材料的超声检测及其声学特性 张书宁1,刘小川2,马志远1,武玉2,林莉1 1. 大连理工大学 无损检测研究所 2. 合肥综合性国家科学中心能源研究院(安徽能源实验室) 玻璃纤维增强树脂基(GFRP)复合材料是以玻璃纤维或玻璃纤维织物为增强体,树脂为基体,通过特殊的材料复合工艺制成的,具有绝缘、耐低温、抗辐射等特性,其具有较高的低温强度和较高的低温断裂韧性,被广泛用于超导磁体的绝缘。例如目前全球规模最大的“国际热核聚变实验堆(ITER)计划”装置,其核心部件之一的超导磁体PF6线圈就采用GFRP复合材料作为绝缘层。该绝缘层承担着机械支撑、阻止导体之间的电气连接和保护绕组正常工作等任务。 复合材料常见缺陷类型有分层、气孔、富树脂和夹杂,这些缺陷会对材料性能产生影响,在服役过程中带来安全隐患,因此利用无损检测方法对GFRP材料进行缺陷检测具有重要意义。 超声检测具有灵敏度高、能量集中、适用范围广、检测速度快和对身体无害等优点,在GFRP材料无损检测中有广阔的应用前景。但纤维增强树脂基复合材料具有多相非均质性,导致超声波传播行为复杂,信号辨识难度大,检测信噪比低,给复合材料的缺陷检测带来了困难。 针对超导磁体绝缘层用GFRP复合材料的超声检测问题,对不同厚度层板试样和绝缘层试块中的人工钢片以及分层、富树脂等共计3种、11个缺陷进行超声检测试验,分析了A扫描及B扫描的结果特征,结合金相检验验证了超声检测的有效性,并讨论了材料非均质性导致的声速和衰减波动对缺陷检测的影响。 01GFRP材料声学特性 试验样品 试验样品为GFRP层板试样和内部为316L不锈钢的绝缘层试块,所用玻璃纤维为正交编织带,其微观结构如图1所示,采用的树脂包括聚酰亚胺树脂和双酚F环氧树脂(GY 282型),两类GFRP样品均采用真空压力浸渍(VPI)工艺制备。 图1 玻璃纤维正交编织带微观结构示意 层板试样的尺寸为长200 mm,宽200 mm,1,2,3#层板厚度分别为1.21,3.32,4.39 mm。每个层板均包含直径分别为1.0,3.0,5.0 mm的圆形人工钢片,1,2,3#层板缺陷深度分别为0.62,1.60,2.95 mm,层板试样实物如图2所示。 图2 GFRP层板试样实物 绝缘层试块内部为316L不锈钢,外部包覆厚度为4.4 mm的GFRP层,试块尺寸为长400 mm,宽114 mm,厚114 mm,绝缘层试块包绕结构如图3所示。 图3 绝缘层试块包绕结构示意 通过目视检测发现两个异常区域,记作区域①和②,随机选取一处无异常区域,记作区域③,绝缘层试块实物如图4所示。 图4 绝缘层试块实物 声学特性表征 采用脉冲反射法计算材料声速c和时域衰减系数α,其表达式为: 式中:d为材料厚度;Δt为表面反射回波和一次底面反射回波之间的时间差;A1为表面反射回波声压;A2为一次底面反射回波声压;R为声压反射系数;T为声压透射系数;可以通过声压反射/透射定律计算;下标1表示楔块,下标2表示GFRP材料,下标3表示空气。 超声检测系统包括Olympus 5800型超声脉冲发射仪、Tektronix-DPO 4032型数字示波器和中心频率为5 MHz的常规纵波直探头。采集各层板每个缺陷附近区域的A扫描信号,3种厚度GFRP层板缺陷附近的典型A扫信号如图5所示。观察发现,随着层板厚度由1.21 mm增加到4.39 mm,底面回波逐渐变弱。1#层板层间反射难以识别,2#和3#层板层间反射较明显。分析认为,1#层板最薄,层间反射弱且与表面和底面回波混叠;随着2#和3#层板厚度逐渐增加,层间反射逐渐增强。 图5 3种厚度GFRP层板缺陷附近的典型A扫描信号 根据A扫描信号计算声速和时域衰减系数,得到以下数据:1#层板声速在2918.46~3256.41 m/s,时域衰减系数在8.22~12.58 dB/mm;2#层板声速在2698.71~2800.05 m/s,时域衰减系数在6.33~7.09 dB/mm;3#层板声速在2738.31~2900.04 m/s,时域衰减系数在5.03~5.32 dB/mm。GFRP层板声速及时域衰减系数测量结果如表1和表2所示。 表1 GFRP层板声速测量结果(m/s) 表2 GFRP层板时域衰减系数测量结果(dB/mm) 02试验结果及分析 采用相控阵超声检测技术对层板进行检测,检测设备为Omniscan MX2型相控阵超声检测仪,选用32阵元线阵探头及其匹配的零度楔块,探头中心频率为5 MHz。 层板人工缺陷检测 1#层板不同尺寸缺陷的A,B扫描结果如图6所示,在A扫描和B扫描中均可以观察到直径为5.0,3.0,1.0 mm的缺陷。由于缺陷距离上表面较近(0.62 mm),A扫描中缺陷回波与表面回波略有混叠,但仍能区分。随着缺陷直径尺寸由5.0 mm减小到1.0 mm,缺陷回波幅值逐渐降低。B扫描结果中缺陷清晰可见,无缺陷处层间反射回波形成伪像,伪像幅值较缺陷幅值低。 图6 1#层板不同尺寸缺陷的A,B扫描结果(左:A扫,右:B扫) 2#层板不同尺寸缺陷的A,B扫描结果如图7所示,可见缺陷识别效果与1#层板类似,3个不同尺寸缺陷均可观察到。由于缺陷深度增加,A扫描中缺陷回波与表面回波分离,随着缺陷直径由5.0 mm减小到1.0 mm,缺陷回波幅值逐渐降低。类似地,B扫描结果可以清晰识别缺陷。 图7 2#层板不同尺寸缺陷的A,B扫描结果(左:A扫,右:B扫) 3#层板缺陷的A,B扫描结果如图8所示,在A扫描和B扫描结果中均可以观察到ф5.0 mm和ф3.0 mm缺陷。对于ф1.0 mm缺陷,由于缺陷距离上表面较远(2.95 mm),A扫描中缺陷回波幅值低,与层间反射回波幅值相当且混叠,B扫描结果中难以识别。 图8 3#层板不同尺寸缺陷的A,B扫描结果(左:A扫,右:B扫) 材料本身的非均质性会导致层板声速存在明显波动,故此处采用每个缺陷附近区域的声速对缺陷深度进行计算,3种厚度层板不同缺陷的定位结果如表3所示,可见3种不同厚度层板9个人工钢片计算深度与预埋深度的相对误差最大值为3.88%。 表3 3种厚度层板不同缺陷的定位结果 绝缘层试块实际缺陷检测 使用上述超声检测工艺对绝缘层试块的①、②、③区域进行检测。对应的B扫描结果及实物照片如图9所示。由区域①的B扫描图像可观察到疑似分层缺陷,采用6 dB法(半波高度法)对缺陷进行定量,缺陷尺寸约为长40.6 mm,宽15.2 mm,对应的实物照片如图9d所示。区域②对应的B扫描图像(图9b)未观察到明显缺陷,实物照片如图9e所示。区域③属于目视无异常区域,对应的B扫描图像(图9c)中亦未识别到明显缺陷,实物照片如图9f所示。 图9 绝缘层试块3个区域B扫描结果及实物照片 为了验证超声检测结果,对区域①、②、③部位进行解剖和宏观金相检验。绝缘层试块不同区域的金相照片如图10所示。区域①的金相照片中白色长条为聚酰亚胺,厚度约为0.05 mm,每两层聚酰亚胺之间是玻璃纤维正交编织带与环氧树脂混合层,黑色长条为分层缺陷,横穿整个长度范围,宽0.13 mm。由区域②的金相照片观察可知,此处存在明显的树脂富集,分析认为,由于材料采用VPI工艺制备,树脂与玻璃纤维浸渍在一起,阻抗差异不大,未引起明显的界面响应。区域③的金相照片未发现异常。 图10 绝缘层试块不同区域的金相照片 分析及讨论 GFRP多相材料铺层结构复杂,同时有较强的非均质性,导致材料的声学特性在一定范围内波动。ONO对玻璃纤维种类和取向不同的GFRP材料声速和时域衰减系数进行了研究,结果表明:采用1 MHz探头,0°,90°单向和织物GFRP的声速范围为2840~5060 m/s;平均声速为4366.43 m/s;整体声速相对于平均声速波动达35.0%;时域衰减系数范围为0.0726~0.4410 dB/mm;平均时域衰减系数为0.17 dB/mm,整体时域衰减系数相对于平均时域衰减系数波动达128.5%。 笔者结合GFRP材料试验样品,从声速、时域衰减系数和伪像三方面分别进行分析及讨论: 1声速波动会给缺陷定位带来误差,上文中采用缺陷附近区域的声速,对9个缺陷深度进行了计算,其中误差最大的是2#层板试样中深度为1.66 mm的人工钢片,缺陷定位误差为3.88%。实际检测中难以确定每个区域的准确声速,若采用层板的最小、平均或最大声速对缺陷深度进行计算,对于厚为4.39 mm的层板中深度为4 mm的缺陷,定位误差最大值将达到12.38%。所以在实际检测中,在对强非均质性材料中深度较大的缺陷进行定位时,建议采用缺陷附近的声速进行计算。 2时域衰减系数波动会对缺陷的识别和定量造成一定影响,材料本身衰减高且层间反射回波复杂,会导致缺陷回波的信噪比较低,给缺陷识别带来一定困难,容易出现漏检。从图8c的A扫描结果可以看出,ф1.0 mm缺陷回波与层间反射回波发生混叠,且幅值相当,缺陷难以识别。实际检测中可以通过时间校正增益、补偿或修正等来提高信噪比。 3材料的非均质性会引起复杂的超声波折射和散射,同时,散射波强度和方向具有不确定性,导致回波信号复杂,有时存在伪像,给复合材料的缺陷检测带来了困难。可以考虑借助金相解剖、微观观测等方法对GFRP材料的非均质程度进行描述,并采取试验和仿真相结合的方法开展研究。 03结论 1通过研究GFRP材料的声学特性,发现同一层板声速和时域衰减系数波动性较大,不同厚度层板之间也存在差异。层板平均声速为2881.77 m/s,整体声速相对于平均声速波动达13.0%;平均时域衰减系数为7.19 dB/mm,整体时域衰减系数相对于平均时域衰减系数波动达74.9%。材料本身存在很强的非均质性和高衰减性,同时还有着复杂的铺层结构时,会对缺陷的定位定量造成一定的影响。 2对3种厚度的GFRP层板试样中ф5.0,3.0,1.0 mm的人工缺陷进行超声检测,厚度1.21 mm和3.32 mm层板试样中所有缺陷均可检出,厚度4.39 mm层板试样中可识别ф5.0 mm和ф3.0 mm缺陷。在绝缘层试块中检测出的分层缺陷尺寸约为长40.6 mm,宽15.2 mm,材料内部存在的高衰减可能导致定量不准确。 3讨论了GFRP材料非均质性引起的声速及时域衰减系数波动和伪像对缺陷检测的影响,并提出了一些对策。 第一作者简介:张书宁,硕士研究生,主要研究方向为复合材料超声检测与评价。 通信作者简介:林莉,教授,主要研究方向为材料无损检测与评价。 来源:《无损检测》2022年12期






