在过去的文章中,曾推送过几期有关LaRC05失效准则在Abaqus中使用的说明和案例,之前的版本中都需要通过按照一定的规则编辑关键则才能实现该失效准则的调用,在最新的SIMULIA 2023中,LaRC05失效准则已正式集成进Abaqus CAE,用户不再需要编辑关键字了,可以下那个Hashin失效准则的使用一样,在CAE界面下输入参数即可调用,方便许多了。
先回顾一下LaRC05失效准则的几个主要表达式:
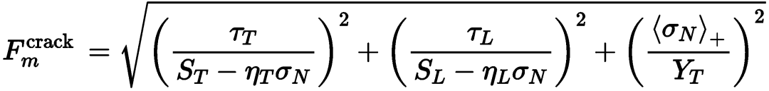
(1)基体开裂
(2)纤维拉伸
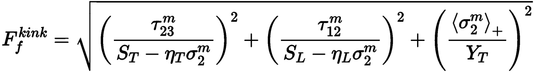
(3)
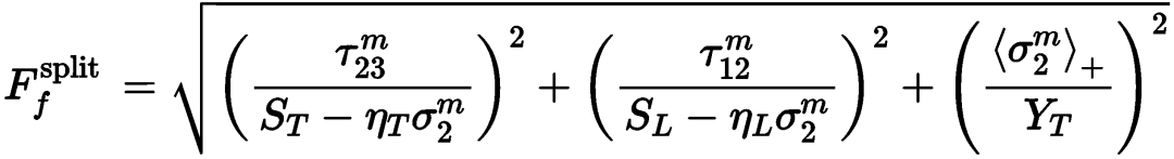
(4)
在CAE操作界面中输入失效准则相关的参数,如下:
Abaqus/CAE 中的操作流程:
Property 模块→ 材料编辑选项→ Mechanical→ Damage for Fiber-Reinforced Composites → LaRC05 Damage






