一、几个概念
弹性模量:材料在弹性变形阶段,其应力和应变成正比例关系(即符合胡克定律),其比例系数称为弹性模量(Elastic Modulus)。弹性模量是描述物质弹性的一个物理量,是一个总称,包括“杨氏模量”、“剪切模量”、“体积模量”等。一般地,对弹性体施加一个外界作用(称为“应力”)后,弹性体会发生形状的改变(称为“应变”),弹性模量的一般定义是:应力除以应变。
杨氏模量:对一根细杆施加一个拉力F,这个拉力除以杆的截面积S,称为“线应力”,杆的伸长量dL除以原长L,称为“线应变”。线应力除以线应变就等于杨氏模量E=( F/S)/(dL/L)。
剪切模量:对一块弹性体施加一个侧向的力f(通常是摩擦力),弹性体会由方形变成菱形,这个形变的角度a称为“剪切应变”,相应的力f除以受力面积S称为“剪切应力”。剪切应力除以剪切应变就等于剪切模量G=( f/S)/a。
体积模量:对弹性体施加一个整体的压强P,这个压强称为“体积应力”,弹性体的体积减少量(-dV)除以原来的体积V称为“体积应变”,体积应力除以体积应变就等于体积模量: K=P/(-dV/V)。
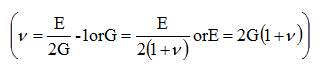
泊松比:在材料的比例极限内,由均匀分布的纵向应力所引起的横向应变与相应的纵向应变之比的绝对值。比如,一杆受拉伸时,其轴向伸长伴随着横向收缩(反之亦然),而横向应变e'与轴向应变e之比称为泊松比ν,泊松比ν与杨氏模量E及剪切模量G之间的关系:

意义:弹性模量可视为衡量材料产生弹性变形难易程度的指标,其值越大,使材料发生一定弹性变形的应力也越大,即材料刚度越大,亦即在一定应力作用下,发生弹性变形越小。弹性模量E是指材料在外力作用下产生单位弹性变形所需要的应力。它是反映材料抵抗弹性变形能力的指标,相当于普通弹簧中的刚度。
二、弹性模量的测试方法
弹性模量的测试有三种方法:静态法、动态法、脉冲激振法。
1、静态法
静态法测试的是材料在弹性变形区间的应力-应变,静态法指在试样上施加一恒定的弯曲应力,测定其弹性弯曲挠度,根据应力和应变计算弹性模量。
主要缺点是:
1、破坏性测试,不能重复测试,且精度低、结果波动大;
2、只能测试杨氏模量,不能测试剪切模量及泊松比;
3、应力加载的速度会影响弹性模量的数值;
4、脆性材料如陶瓷无法测量;
5、不能在高温下测试.在高温下,材料发生蠕变,使得应变测试值增大。
测试原理:
对于棒状物体(或金属丝)仅受轴向外力作用而发生伸长的形变(称拉伸形变)。设一均匀金属丝截面积是S、长度是L,沿长度方向受一个外力F后金属丝伸长ΔL。单位面积上的垂直作用力F/S称为正应力,金属丝的相对伸长ΔL/L称为线应变。由胡克定理可知:

测试方法:是将钢丝悬挂于支架上,上端固定,下端加砝码对钢丝施加力F,测出其相应的伸长量ΔL,即可求出E。由于测的值很小,需要用到光杠杆原理来放大达到测量的目的。光杠杆的原理见下图:

增(减)砝码时,金属丝将伸长(或缩短)ΔL,光杠杆的后足尖也随着圆柱体C一道下降(或上升)ΔL,而前面两足保持不动,于是主杆转过一角度θ,同时平面镜的法线也转过相同的角度θ 。用望远镜T和标尺N测得角θ,设光杠杆后足到前两足连线的距离为l,可算出ΔL

注意:F必须不能过大以确保形变在弹性限度内,且角θ必须很小,tanθ ≈θ,tg2θ ≈2θ,才能成立,得到:

最终:

2、动态法
又称共振法是,指利用很小的外力使试样振动,通过测试试样的基频求得弹性模量,或者通过测试超声波或声波在试样中的传播速度计算得出材料弹性模量。测试试样的共振频率,材料的固有频率近似于共振频率,而根据固有频率可以计算出弹性模量。
主要优点有:
1、测试后材料无任何损伤,可进行反复测试;
2、能准确反映材料在微小形变时的物理性能;
3、测得值精确稳定;
4、对软性脆性材料都能测定;
5、温度范围广(-196℃~2600℃)
测试原理:动态法测量杨氏模量的原理:在一定条件下(L>>d),试样振动的固有频率取决于它的几何形状、尺寸、质量以及它的杨氏模量。对于金属圆形棒,杨氏模量计算公式为:

公式中:l为金属杆的长度;m 为金属杆的质量;d 为金属棒的直径, f是金属杆的固有频率,T为修正值,由下表给出:
径长比的d/L | 0.01 | 0.02 | 0.03 | 0.04 | 0.05 |
修正系数K | 1.002 | 1.008 | 1.019 | 1.033 | 1.051 |
固有频率和共振频率的关系为:其中β为阻尼系数。
阻尼越小,共振频率与固有频率之间的将越接近。阻尼为零的情况在现实不能存在,但尽可能减小阻尼是可以存在的。因此只要实验中找到节点位置,然后在节点附近测量其共振频率即可近似为固有频率。

悬挂法测量固有频率:

悬挂法示意图
信号发生器输出的等幅正弦波信号,经过放大器加在激振器上,把电信号转变成机械振动,在由悬线把机械振动传给样棒,使得样棒受迫横振动。样棒另一端的悬线把样棒的振动传给拾振器,这时机械振动又转变成电信号,该信号经放大后送到示波器上显示。当信号发生器的信号频率等于样棒的固有频率时,样棒发生共振,示波器上波形幅度突然增大,读出此时的频率为共振频率。
实验上采用作图外延法来测定试样的基频共振频率,在节点附近等距离的共振频率是关于节点对称的,根据这一特征可以推断出节点的共振频率,即为固有频率(如图fo)。

3、脉冲激振法
脉冲激振法是指通过合适的外力给定试样某一特定位置一个连续的脉冲激振信号,当激振信号中的某一频率与试样的固有频率相一致时,产生共振,此时振幅最大,延时最长,这个波通过测试探针或测量传感器接收该振动信号,有换能器转换为电讯号输送给相应仪器或者计算机,然后通过数据的分析处理获得试样的固有频率,该固有频率依据试样的振动方式不同而获得不同类型的频率,如弯曲频率、扭曲频率等,然后由相关公式计算得出其杨氏模量E、剪切模量G、泊松比及阻尼比等。

主要优点有:
1、信号激发、接收简单,测试结果准确;
2、信号激发、接收均采用非接触式,便于实现高温测试;
3、频谱分析得到试样固有频率,准确直观。
测试原理:

弯曲模量是指材料在弯曲振动模式下获得的固有频率,然后通过下式计算获得的弹性模量E。

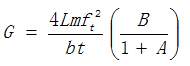
剪切模量是指材料在扭曲振动模式下获得的固有频率,然后通过下式计算获得的弹性模量G。

m为质量,ff 为弯曲频率,ft为扭曲频率,b 为式样宽度,L试样长度,t 试样厚度。
三、相关标准
GB/T 22315-2008 金属材料弹性模量和泊松比试验方法
GB/T 14453-1993 金属材料高温弹性模量测量方法
GB/T 24191-2009 钢丝绳 实际弹性模量测定方法
GB/T 5166-1998 烧结金属材料和硬质合金弹性模量测定
GB/T 5986-2000 热双金属弹性模量试验方法
ASTM E111-2004 杨氏弹性模量、正切模量和弦切模量的标准试验方法
ASTM B223-2008 恒温金属弹性模量的标准试验方法(悬臂梁法)
ASTM B223-85热双金属弹性模量的标准试验方法
ASTM E1876-2007 用振动脉冲激励测定动态杨氏模量、剪切模数和泊松比的标准试验方法






