粒度测试是通过特定的仪器和方法对粉体粒度特性进行表征的一项实验工作。粉体在我们日常生活和工农业生产中的应用非常广泛。如面粉、水泥、塑料、造纸、橡胶、陶瓷、药品等等。在的不同应用领域中,对粉体特性的要求是各不相同的,在所有反映粉体特性的指标中,粒度分布是所有应用领域中最受关注的一项指标。所以客观真实地反映粉体的粒度分布是一项非常重要的工作。下面就具体讲一下关于粒度测试方面的基知识和基本方法。
一、粒度测试的基本知识
1、颗粒:在一尺寸范围内具有特定形状的几何体。这里所说的尺寸一般在毫米到纳米之间,颗粒不仅指固体颗粒,还有雾滴、油珠等液体颗粒。
2、粉体:由大量的不同尺寸的颗粒组成的颗粒群。
3、粒度:颗粒的大小叫做颗粒的粒度。
4、粒度分布:用特定的仪器和方法反映出的不同粒径颗粒占粉体总量的百分数。有区间分布和累计分布两种形式。区间分布又称为微分分布或频率分布,它表示一系列粒径区间中颗粒的百分含量。累计分布也叫积分分布,它表示小于或大于某粒径颗粒的百分含量。
5、粒度分布的表示方法:
① 表格法:用表格的方法将粒径区间分布、累计分布一一列出的方法。
② 图形法:在直角标系中用直方图和曲线等形式表示粒度分布的方法。
③ 函数法:用数学函数表示粒度分布的方法。这种方法一般在理论研究时用。如著名的Rosin-Rammler分布就是函数分布。
6、粒径和等效粒径:粒径就是颗粒直径。这概念是很简单明确的,那么什么是等效粒径呢,粒径和等效粒径有什么关系呢?我们知道,只有圆球体才有直径,其它形状的几何体是没有直径的,而组成粉体的颗粒又绝大多数不是圆球形的,而是各种各样不规则形状的,有片状的、针状的、多棱状的等等。这些复杂形状的颗粒从理论上讲是不能直接用直径这个概念来表示它的大小的。而在实际工作中直径是描述一个颗粒大小的最直观、最简单的一个量,我们又希望能用这样的一个量来描述颗粒大小,所以在粒度测试的实践中的我们引入了等效粒径这个概念。
等效粒径
等效粒径是指当一个颗粒的某一物理特性与同质的球形颗粒相同或相近时,我们就用该球形颗粒的直径来代表这个实际颗粒的直径。那么这个球形颗粒的粒径就是该实际颗粒的等效粒径。
等效粒径具体有如下几种:
① 等效体积径:与实际颗粒体积相同的球的直径。一般为激光法所测直径为等效体积径。
② 等效沉速径:在相同条件下与实际颗粒沉降速度相同的球的直径。沉降法所测的粒径为等效沉速径,又叫Stokes径。
③ 等效电阻径:在相同条件下与实际颗粒产生相同电阻效果的球形颗粒的直径。库尔特法所测的粒径为等效电阻径。
④ 等效投进面积径:与实际颗粒投进面积相同的球形颗粒的直径。显向镜法和图像法所测的粒径大多是等效投影面积直径。
用不同方法等效粒径差异
7、表示粒度特性的几个关键指标:
① D50:一个样品的累计粒度分布百分数达到50%时所对应的粒径。它的物理意义是粒径大于它的颗粒占50%,小于它的颗粒也占50%,D50也叫中位径或中值粒径。D50常用来表示粉体的平均粒度。
② D97:一个样品的累计粒度分布数达到97%时所对应的粒径。它的物理意义是粒径小于它的的颗粒占97%。D97常用来表示粉体粗端的粒度指标。其它如D16、D90等参数的定义与物理意义与D97相似。
③ 比表面积:单位重量的颗粒的表面积之和。比表面积的单位为m2/kg或cm2/g。比表面积与粒度有一定的关系,粒度越细,比表面积越大,但这种关系并不一定是正比关系。
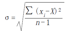
8、粒度测试的重复性:同一个样品多次测量结果之间的偏差。重复性指标是衡量一个粒度测试仪器和方法好坏的最重要的指标。它的计算方法是:
其中,n 为测量次数(一般n ≥ 10);
x i 为每次测试结果的典型值(一般为D50 值);
x为多次测试结果典型值的平均值;
σ为标准差;
那么重复性相对误差为:
影响粒度测试重复性有仪器和方法本身的因素;样品制备方面的因素;环境与操作方面的因素等。粒度测试应具有良好的重复性是对仪器和操作人员的基本要求。
9、粒度测试的真实性:通常的测量仪器都有准确性方面的指标。由于粒度测试的特殊性,通常用真实性来表示准确性方面的含义。由于粒度测试所测得的粒径为等效粒径,对同一个颗粒,不同的等效方法可能会得到不同的等效粒径。
可见,由于测量方法不同,同一个颗粒得到了两个不同的结果。也就是说,一个不规则形状的颗粒,如果用一个数值来表示它的大小时,这个数值不是唯一的,而是有一系列的数值。而每一种测试方法的都是针对颗粒的某一个特定方面进行的,所得到的数值是所有能表示颗粒大小的一系列数值中的一个,所以相同样品用不同的粒度测试方法得到的结果有所不同的是客观原因造成的。
颗粒的形状越复杂,不同测试方法的结果相差越大。但这并不意味着粒度测试结果可以漫无边际,而恰恰应具有一定的真实性,就是应比较真实地反映样品的实际粒度分布。真实性目前还没有严格的标准,是一个定性的概念。但有些现象可以做为测试结果真实性好坏的依据。比如仪器对标准样的测量结果应在标称值允许的误差范围内;经粉碎后的样品应比粉粉碎前更细;经分级后的样品的大颗粒含量应减少;结果与行业标准或公认的方法一致等。
二、粒度测试的基本方法
粒度测试的方法很多,据统计有上百种。目前常用的有沉降法、激光法、筛分法、图像法和电阻法五种,另外还有几种在特定行业和领域中常用的测试方法。
1、沉降法:沉降法是根据不同粒径的颗粒在液体中的沉降速度不同测量粒度分布的一种方法。它的基本过程是把样品放到某种液体中制成一定浓度的悬浮液,悬浮液中的颗粒在重力或离心力作用下将发生沉降。不同粒径颗粒的沉降速度是不同的,大颗粒的沉降速度较快,小颗粒的沉降速度较慢。那么颗粒的沉降速度与粒径有怎样的数量关系,通过什么方式反映颗粒的沉降速度呢?
①Stokes定律:在重力场中,悬浮在液体中的颗粒受重力、浮力和粘滞阻力的作用将发生运动.从Stokes定律中我们看到,沉降速度与颗粒直径的平方成正比。比如两个粒径比为1:10的颗粒,其沉降速度之比为1:100,就是说细颗粒的沉降速度要慢很多。为了加快细颗粒的沉降速度,缩短测量时间,现代沉降仪大都引入离心沉降方式。
在离心沉降状态下,颗粒的沉降事度与粒度的关系如下:
这就是Stokes定律在离心状态下的表达式。由于离心转速都在数百转以上,离心加速度ω2r远远大于重力加速度g,Vc>>V,所以在粒径相同的条件下,离心沉降的测试时间将大大缩短。
② 比尔定律:如前所述,沉降法是根据颗粒的沉降速度来测试粒度分布的。但直接测量颗粒的沉降速度是很困难的。所以在实际应用过程中是通过测量不同时刻透过悬浮液光强的变化率来间接地反映颗粒的沉降速度的。那么光强的变化率与粒径之间的关系又是怎样的呢?比尔是律告诉我们:
设在T1、T2、T3、……Ti时刻测得一系列的光强值I1<I2<I3…<Ii,这些光强值对应的颗粒粒径为D2>D3>……>Di,将这些光强值和粒径值代入式中,再通过计算机处理就可以得到粒度分布了。
2、激光法:激光法是根据激光照射到颗粒后,颗粒能使激光产生衍射或散射的现象来测试粒度分布的。由激光器的发生的激光,经扩束后成为一束直径为10mm左右的平行光。在没有颗粒的情况下该平行光通过富氏透镜后汇聚到后焦平面上。当通过适当的方式将一定量的颗粒均匀地放置到平行光束中时,平行光将发生散现象。一部分光将与光轴成一定角度向外传播。
激光束在无阻碍状态下的传播示意图
不同粒径的颗粒产生不同角度的散射光
那么,散射现象与粒径之间有什么关系呢?理论和实验都证明:大颗粒引发的散射光的角度小,颗粒越小,散光与轴之间的角度就越大。这些不同角度的散射光通过富姓氏透镜后在焦平面上将形成一系列有不同半径的光环,由这些光环组成的明暗交替的光斑称为Airy斑。Airy斑中包含着丰富粒度信息,简单地理解就是半径大的光环对应着较小的粒径;半径小的光环对应着较大的粒径;不同半径的光环光的强弱,包含该粒径颗粒的数量信息。这样我们在焦平面上放置一系列的光电接收器,将由不同粒径颗粒散射的光信号转换成电信号,并传输到计算机中,通过米氏散理论对这些信号进行数学处理,就可以得到粒度分布了。
3、筛分法:筛分法是一种最传统的粒度测试方法。它是使颗粒通过不同尺寸的筛孔来测试粒度的。筛分法分干筛和湿筛两种形式,可以用单个筛子来控制单一粒径颗粒的通过率,也可以用多个筛子叠加起来同时测量多个粒径颗粒的通过率,并计算出百分数。筛分法有手工筛、振动筛、负压筛、全自动筛等多种方式。颗粒能否通过筛几与颗粒的取向和筛分时间等素因素有关,不同的行业有各自的筛分方法标准。
4、电阻法:电阻法又叫库尔特法,是由美国一个叫库尔特的人发明的一种粒度测试方法。这种方法是根据颗粒在通过一个小微孔的瞬间,占据了小微孔中的部分空间而排开了小微孔中的导电液体,使小微孔两端的电阻发生变化的原理测试粒度分布的。小孔两端的电阻的大小与颗粒的体积成正比。当不同大小的粒径颗粒连续通过小微孔时,小微孔的两端将连续产生不同大小的电阻信号,通过计算机对这些电阻信号进行处理就可以得到粒度分布了。用库尔特法进行粒度测试所用的介质通常是导电性能较好的生理盐水。
5、显微图象法:显微图象法包括显微镜、CCD摄像头(或数码像机)、图形采集卡、计算机等部分组成。它的基本工作原理是将显微镜放大后的颗粒图像通过CCD摄像头和图形采集卡传输到计算机中,由计算机对这些图像进行边缘识别等处理,计算出每个颗粒的投影面积,根据等效投影面积原理得出每个颗粒的粒径,再统计出所设定的粒径区间的颗粒的数量,就可以得到粒度分布了。
由于这种方法单次所测到的颗粒个数较少,对同一个样品可以通过更换视场的方法进行多次测量来提高测试结果的真实性。除了进行粒度测试之外,显微图象法还常用来观察和测试颗粒的形貌。
6、其它颗粒度测试方法:除了上述几种粒度测试方法以外,目前在生产和研究领域还常用刮板法、沉降瓶法、透气法、超声波法和动态光散射法等。
(1) 刮板法:把样品刮到一个平板的表面上,观察粗糙度,以此来评价样品的粒度是否合格。此法是涂料行业采用的一种方法。是一个定性的粒度测试方法。
(2) 沉降瓶法:它的原理与前后讲的沉降法原理大致相同。测试过程是首先将一定量的样品与液体在500ml或1000ml的量筒里配制成悬浮液,充分搅拌均匀后取出一定量(如20ml)作为样品的总重量,然后根据Stokes定律计算好每种颗粒沉降时间,在固定的时刻分别放出相同量的悬浮液,来代表该时刻对应的粒径。将每个时刻得到的悬浮液烘干、称重后就可以计算出粒度分布了。此法目前在磨料和河流泥沙等行业还有应用。
(3) 透气法:透气法也叫弗氏法。先将样品装到一个金属管里并压实,将这个金属管安装到一个气路里形成一个闭环气路。当气路中的气体流动时,气体将从颗粒的缝隙中穿过。如果样品较粗,颗粒之间的缝隙就大,气体流边所受的阻碍就小;样品较细,颗粒之间的缝隙就小,气体流动所受的阻碍就大。透气法就是根据这样一个原理来测试粒度的。这种方法只能得到一个平均粒度值,不能测量粒度分布。这种方法主要用在磁性材料行业。
(4) 超声波法:通过不同粒径颗粒对超声波产生不同的影响的原理来测量粒度分布的一种方法。它可以直接测试固液比达到70%的高浓度浆料。这种方法是一种新的技术,目前国内外都有人进行研究,据说国外已经有了仪器,国内目前还没有。
(5) 动态光散射法:前面所讲的激光散射法可以理解为静态光散射法。当颗粒小到一定的程度时,颗粒在液体中受布朗运动的影响,呈一种随机的运动状态,其运动距离与运动速度与颗粒的大小有关。通过相关技术来识别这些颗粒的运动状态,就可以得到粒度分布了。动态光散射法,主要用来测量纳米材料的粒度分布。国外已有现成的仪器,国内目前还没有。






