推广 热搜: 可回收  碳纤维  太阳能电池板  复合材料 

陶瓷基先进复合材料无损检测大PK

   日期:2024-01-29     来源:材料PLUS    浏览:169    评论:0    
核心提示:01无损检测的定义美国材料实验协会(AmericanSocietyofTestingMaterials,ASTM)在StandardTerminologyforNondestructiveExaminatio

01无损检测的定义


美国材料实验协会(American Society of Testing Materials, ASTM)在Standard Terminology for Nondestructive Examinations中将无损检测定义为[1]:在不损害其后续有用性和适用性的前提下,发展和应用测试材料或构件的技术方法来探测、定位、测量和评价缺陷;评估材料的完整性、性质和组成;测量几何特征。其基本过程是采用无损检测手段,确定检测信息为伪缺陷、相关缺陷或非相关缺陷,然后评估确定该构件是否符合特定的可接受的标准。

目前,NDT/NDE已经广泛应用于从材料的研制到构件制备,直至其服役期的检测,横跨材料的整个生命周期[2]。

图片
图1 NDT/NDE向材料研究及应用领域的渗透

先进的CMC制造成本通常很高,生产周期长,使用环境对其质量要求严格,如何有效提高其可靠性是十分迫切的问题。

尽管C/SiC具有对微裂纹、微孔等缺陷不敏感,不发生严重断裂特性,但开展C/SiC NDT/NDE研究将会进一步提高对该新型材料缺陷的认识,使其质量和可靠性得到更高的保证;发展适用的NDT/NDE方法;对C/SiC材料的优化设计、构件的优化设计、制备过程控制、成品及服役期质量、材料性能演变与表征等都具有极大意义。无损检测后的产品增殖情况大致是:机械产品为5%,国防、宇航、原子能产品为12%一18%。

采用合适的无损评价NDT/NDE方法对制造过程进行有效控制、保证成品质量和服役期性能,提高产品可靠性都将起到非常关键的作用[3]。美国在其先进陶瓷的短期(0~3年)、中期(~2010年)和长期(~2020年)计划中,都把陶瓷基复合材料的无损评价放在了相当重要的位置。

表1 各种检测方法优缺点对比[4]
图片

CMC无损检测最重要的几种方法为:x射线、超声、红外热成像、全息干涉和涡流检测,其他一些技术如声发射、贝塔背散射、核磁共振、中子射线和微波都被尝试用于CMC无损评价,但这些方法仍需改进。目前超声和X射线检测技术己成为两种最主要和成熟的CMC NDT/NDE技术,而超声无损检测是近年来发展最快、最常用的CMC NDT/NDE方法[5-6]。

表2 不同超声检测技术对比
图片

具体如用超声波分析材料的晶粒尺寸和孔隙率,由于晶粒尺寸和孔隙率的不同组合可能得到完全一样的衰减谱,因此,除非还有其它的信息来源,如超声波波速谱或射线照片,否则不能仅根据衰减谱就完全推断出材料的微观结构。这就需要一方面加强对信号处理和模式识别的研究;另一方面,必须利用多测量参数或多种检测手段对材料进行检测评价。

对CMC的无损检测的研究,大多同时采用了一种以上的无损检测方法。如超声+x射线+红外、动态机械共振(DMR)+红外热成像、红外热成像+超声、微焦x射线照相+超声、中子射线照相+x射线照相、光学、超声显微分析+扫描电镜+声一超声+超声c扫描+声发射+x射线照相+热成像及x射线CT+x射线照相+红外热成像等。针对具体的研究目的,应选用合适的NDT/NDE方法组合。

02超声波检测原理

声波在材料中传播,当通过2种介质的分界面时,只有一部分声波穿过,其余部分被反射,而且声波的穿过比例取决于这2种材料的声阻抗系数匹配度[7]。水和大部分经常使用的材料具有相当好的声阻抗匹配,如声波在通过水和碳层界面时将有1/2声能透过。在经过4次固-液界面后(先从传感器到耦合剂,再从耦合剂到被测试件,然后从被测试件到耦合剂,最后从耦合剂到传感器),仍然有一部分声能剩下,所以对其作精确测量是可行的。相反,由于空气的低声阻抗和高吸收,声波在试件与空气间传递时,只有大约1%的能量穿过。

因为用空气作耦合剂比用水作耦合剂时能量损失多100dB左右,在经过4次传递后,几乎没有能量剩下而且相对于低声阻抗的聚合物而言,高声阻抗金属材料的能量损失将更多。所以,空气耦合超声波检测法的发展有赖于更高灵敏度传感器的发展。

超声波检测过程主要由以下4部分组成

:(1)用某种方式向被检测试件中引入或激励超声波;

(2)超声波在试件中传播并与试件材料中物质相互作用时其传播方向或特征被改变;

(3)改变后的超声波又通过检测设备被检测到,并被处理与分析;

(4)根据接收到的超声波特征,对材料进行缺陷识别与评估。

超声波检测按显示方式分为A型、B型和C型3种。A型显示是将超声信号的幅度与传播时间的关系以直角坐标的形式显示出来,横坐标为时间,纵坐标为信号幅度。B型显示的是试件的一个二维截面图,以探头在试件表面沿一条线扫查时的距离作为一个轴的坐标,声传播的时间(或距离)为另一个轴的坐标。C型显示的是试件的一个平面投影图,探头在试件表面作二维扫查,显示屏的二维坐标对应探头的扫查位置。在每一探头移动位置,将某一深度范围的信号幅度用电子门选出,用亮度或颜色代表信号的幅度大小,显示在对应的探头位置上,则可得到某一深度范围缺陷的二维形状与分布。


03红外热成像技术原路

红外热成像技术或称红外热图技术,即通过测取目标物体表面的红外辐射能,将被测物体表面温度的分布转换成形象直观的热图像(灰度图或彩色图)。


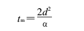
红外热成像技术有多种形式[8],按照其有无外加热源可分为被动型和主动型2种类型。目前针对CMC的红外热成像技术主要是主动型。按加热模式不同分为脉冲加热方式、调制加热方式LT、逐阶加热方式SH和振动加热方式VT[8]。通过知道外加热源的特性可以定量地描述被检测到缺陷的信息,如检测缺陷在材料中的深度、厚度等。在反射式红外热成像检测中,缺陷深度d与强度-时间曲线上偏移峰值时间tm有如下关系

图片

其中:α为热扩散系数。


04X射线检测原理

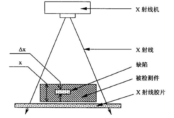
X射线照相基本原理

图片
图2 X射线照相原理图

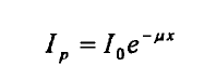
如图,强度为I0的X射线透过厚度为x的物体后,其强度Ip(不考虑散射线的影响)可由下式计算[9-10]:

图片

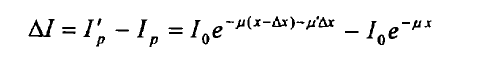
如途中遇有厚度为Δx的缺陷,射线强度变为:

图片

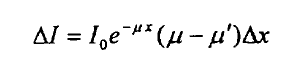
式中μ和μ’分别为无缺陷与有缺陷处的衰减系数(线吸收系数)。射线强度变化:

图片

当Δx较小时,取一阶近似,有:

图片

从上式可见(μ-μ’)值决定ΔI/Ip,由此造成胶片上对应的各部分由于感光程度不同,形成影像,通过影像可对被检测件进行评价。

X射线CT基本原理

X射线CT利用其能够提供材料断层上线性衰减系数图,从而使材料的结构类型、裂纹、孔隙与夹杂、孔隙率及密度分布可视化。

图片
图3 射线投影原理示意图

如图,在物体的截面上定义两个坐标系:固定坐标系x一y,与物体相对固定; 投影坐标系t一s。

当射线以不同的角度θ透照时,在t一s坐标系中便产生对应的投影数据Pθ(t):

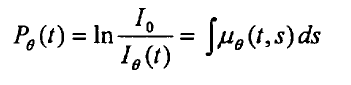
图片

I0为X射线的入射强度,Iθ(t)为射线在投影角为θ,坐标为t时s方向穿透物体后的强度,μθ(t,s)为物体截面上(t,s)处材料的吸收系数。

从不同方向θi(i=1~N)对物体的一个截面透照,记录每一方向的透照数据,利用重建算法对这N组投影数据进行处理,便可得到物体截面射线衰减系数灰度级数字图像。通常X射线CT的灰度图像或伪彩色图像表示的是CT值,图像的每一点代表一个CT值。CT值与射线线吸收系数μ的关系是:

图片

μ为材料在该处的线吸收系数,μ0为参考材料的X射线线吸收系数,通常选择水为参考吸收材料:K为常数,取决于不同的断层扫描机。

因此,CT值反映了材料密度和成分的变化,从而可以对材料的密度变化和缺陷进行测量和分析。

X射线照相技术和工业CT可以对复杂构件进行整体检测,能够对微小缺陷进行精确定位,检测速度较快,能够记录和处理大批量数据。

对CMC,X射线CT主要被用于检测截面密度分布和层裂、纤维与基体的空间分布方向,也可以测定复合材料纤维体积分数。最近也被用于对CMC进行三维重建,并结合有限元进行了应力分布的研究。


05CMC检测方法大PK

表3 X射线检测与超声检测对CMC的检测能力比较
图片

超声波的产生较为容易,价格较低,在可以接受的衰减范围内能够在CMC中传播较长的距离,输出信号含有丰富的有关材料内部特征的信息,己被用来检测CMC材料中各种较大及微小尺寸的缺陷,并被用于评价材料的性能因子如:复合材料的界面、晶粒尺寸、织构、孔隙率、应变、弹性常数、硬度、强度和韧性等,可对机械性能的演变进行测量和评估,但受超声波波长、复合材料的复杂微结构等因素的限制,探测深度有限,缺陷的精确定位与探测精度仍有待提高,难以探测CMC内部纤维的断裂情况,探测结果的后续处理仍需改进。

超声检测在CMC性能的无损评价方面具有明显优势,而X射线照相技术在CMC缺陷的探测精度、深度等方面仍然处于领先的位置。就CMC无损检测/无损评价发表文章数目比例看,超声占据主要位置,X射线近年来在不断上升,红外检测等占一小部分。红外热成像检测的劣势主要在于探测深度和缺陷的分辨能力,但仍有很大的发展空间,甚至在某些情况下超过射线和超声检测。


06CMC无损检测实例解析

2006年,美国Argonne国家实验室的J.G.Sun等[8]采用脉冲加热红外热成像技术对CMC进行无损评价的研究。研究表明,材料的热扩散不仅与材料的内部微观结构有关,而且还与材料的力学性能有关。据此可以确定缺陷,如孔穴、分层等在材料内部的深度、大小等信息,并建立缺陷与材料力学性能之间的关系。有源红外热成像的模式分为透过(双边)式和反射(单边)式。采用反射式检测时,试件热图中分层区域存在异常热点;采用透过式检测时,试件另一表面的热图中分层区域比周围无缺陷区域的温度低,存在异常冷点。采用透过式红外热成像时可以确定材料分层的大小和孔隙厚度,而采用反射式红外热成像时可以确定材料分层的深度。

图片
图4 MI SiC/SiC燃烧室内衬的孔隙检测[8]

图片
图5 燃烧室内衬分层缺陷的红外检测图[8]

如图4和图5所示,发动机燃烧室内衬SiC/SiC材料机械解剖后截面电子显微SEM图与红外热图对比试验表明,热红外检测对CMC内部的空隙和分层非常有效。并且,他们通过不同NDT方法对C/C、C/SiC和SiC/SiC复合材料做了相关试验后证实,对以上非氧化物纤维增强CMC来说,红外热成像检测、水耦合超声检测和X射线层析检测是比较有效的方法。根据检测重点不同,可以分别或同时使用不同的检测方法来分析材料。


07工业CMC构件的性能检测对比

20世纪80年代初,法国SNECMA公司率先开展陶瓷基复合材料在航空发动机喷管部位的应用研究,先后研制出了Cerasepr A300和Sepcarbinoxr A 262碳化硅基复合材料。随后美国、日本等也不断加大该领域的支持,特别是近几年美国在F414发动机上开展了SiCf/SiC(碳化硅纤维增强碳化硅)复合材料涡轮转子的验证工作,这代表陶瓷基复合材料应用范围已经拓展到了发动机的转动件,使用陶瓷基复合材料已成为新一代发动机的典型标志。以下分别从材料考核、模拟考核及发动机试车考核来看看国内外陶瓷基复合材料的应用发展概况。

表4 2D Cf/SiC (碳纤维增强碳化硅) 陶瓷基复合材料的基本性能[11]
图片
注:(a)RT-1000℃;(b)RT-1500℃;(c)200~1650℃;(d)RT-700℃;(e)200~1200℃;(f)20~1200℃。(点击图片看大图更清晰哦)

表5 2D SiCf/SiC陶瓷基复合材料的基本性能[11]
图片
注:(a)Si-B-C自愈合基体;(b)1000℃;(c)发动机测试数据。(点击图片看大图更清晰哦)

表6 国外不同型号陶瓷基复合材料及其性能[11]
图片

表6不完全统计了美国NASA和法国SNECMA公司生产的陶瓷基复合材料体系及其材料级性能考核结果。研究表明,陶瓷基复合材料能够承受较高的热冲击和外部载荷冲击,至少是在中温中载条件下,能够保持优异的化学稳定性,可以应用于航空发动机热端部件。



 
 
更多>同类行业资讯

推荐行业资讯
点击排行

工信部备案号:鲁ICP备2026007664号-3    版权所有  复材网信息科技(山东)有限公司     
热线:400 9692 921  电话:0534-2666809    传真:0534-2220102    邮箱:frp@cnfrp.com
 Copyright (c) 2002-2023 FRPTC.CN All Rights Reserved.   
     

鲁公网安备 37140202001606号