UEL单元结合三阶剪切变形理论和二维渐进损伤模型,引入纤维扭结模型和Puck准则,用于复合材料的渐进损伤分析。基于此单元,本文采用单元弱化法对复合材料开孔层合板在压缩载荷作用下的损伤过程进行了预测,并结合试验验证了该模型的可靠性。此外,该单元还可用于纤维和基体在不同堆叠角度下的损伤分析。
(论文引用:西北工业大学Zhengliang Liu等人在《Engineering Failure Analysis》上发表的《Progressive damage analysis and experiments of open-hole composite laminates subjected to compression loads》文章。)
研究理论
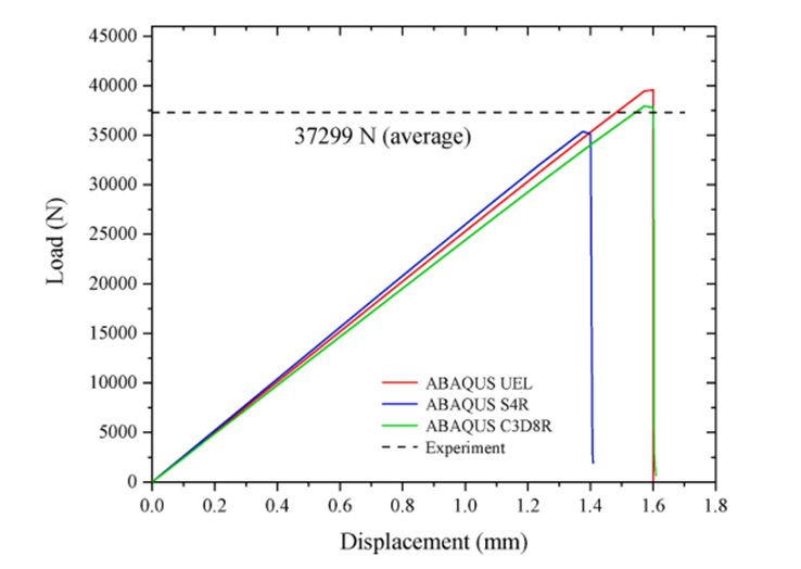
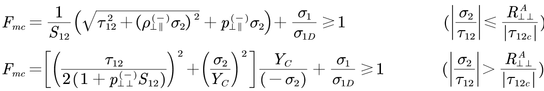
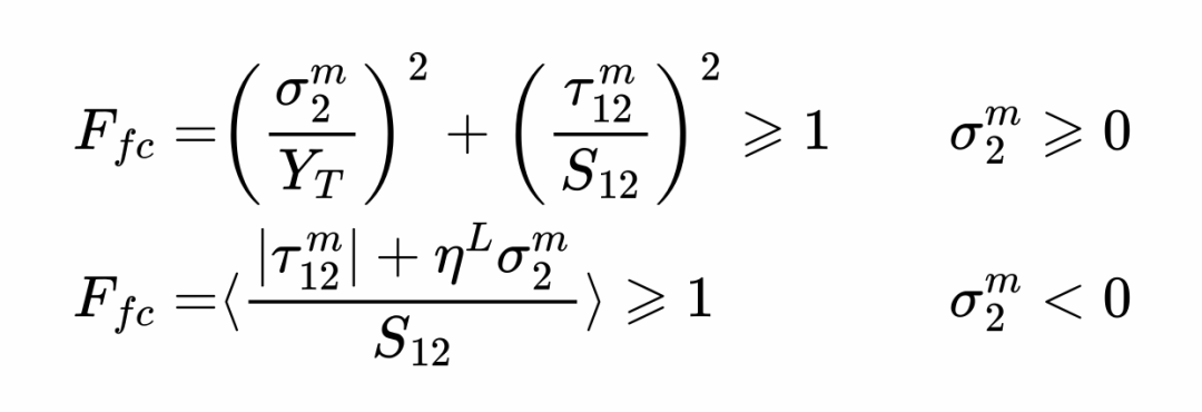
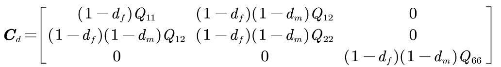
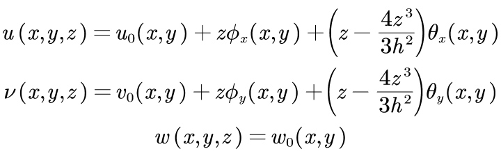
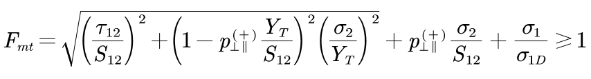
三阶剪切变形理论 基于C0型有限元模型,广义高阶剪切变形理论为: 有限元模型 横向分布荷载作用下虚功原理表示为: 其中 复合材料渐进损伤模型 本文中复合材料采用LaCR02准则判断纤维失效,Puck准则判断基体失效。 LaCR02准则 纤维拉伸 其中ε1和εT 1 分别为拉伸作用下纵向法向应变和破坏应变。 纤维压缩 其中σm2和Tm12是局部坐标系的应力;S12为纵向抗剪强度;ηL为纵向影响系数;YT为横向拉伸强度。 Puck准则基体拉伸σ2≥0 基体压缩σ2<0 σ1D为线性退化的应力值;T12为断裂曲 线拐点处的剪应力。p- ⊥⊥ 、p + ⊥∣∣ 、p - ⊥∣∣ 为斜 率参数;Yc为横向压缩强度。 损伤演化 为了准确描述损伤演化过程,引入损伤变量df(纤维损伤)和dm(基体损伤)。假设纤维失效,基体立即失去承载能力,则损伤弹性矩阵Cd表示为 式中df=1-(1-dft)(1-dfc),dm=1-(1-dmt)(1-dmc)。dft、dfc、dmt、和dmc分别是纤维和基体在拉伸和压缩状态下的损伤变量。 算例验证 基准算例 为了验证模型准确性,计算了正弦荷载Ρ=Ρ0sin(πx/a)sin(πy/b)作用下简支方形复合材料层合板[0/90]s的变形过程。结果表明(图1),UEL单元可以准确预测不同跨-厚比下简支方形复合材料层合板的挠度,预测结果明显优于S4R单元。 图1 平面内应力分布图 开孔压缩算例 为了提高损伤演化的精度,对孔周围网格进行了细化。图2给出了用户子程序单元中的边界荷载情况。左侧边缘的节点固定,右侧边缘节点x方向存在固定位移值。限制所有节点面外自由度,防止开孔板在压缩载荷作用下发生屈曲。 图2 边界载荷情况 如图3所示,UEL单元准确预测了损伤演化过程,与实验结果一致。通过荷载位移曲线,UEL单元预测结果与Abaqus C3D8R结果接近,明显优于S4R单元。 图3 损伤模式和荷载位移曲线 Abaqus C3D8R、UEL和S4R预测的损伤演化如图4所示。红色区域为受损区域,蓝色区域为未受损区域,相比较于S4R,UEL单元可以更好的预测损伤情况。 UEL C3D8R S4R 图4 损伤演化对比 研究结论 1、UEL单元适用于厚、薄复合材料层合板的位移和应力预测,平面问题中,预测结果比S4R单元更准确。 2、在开孔复合材料层合板的压缩算例中,该单元对损伤演化过程的预测与试验结果一致。 3、该单元能够呈现出不同堆叠角度的层板中纤维和基体的损伤演化过程,有助于探索开孔复合材料层板的破坏机理。






