推广 热搜: 可回收  碳纤维  太阳能电池板  复合材料 

非50欧系统阻抗的S参数测试

   日期:2024-02-26     来源:微波射频网    浏览:174    评论:0    
核心提示:1. S参数依赖于系统阻抗S参数的定义需要约定一个系统阻抗。同一个微波电路,在不同系统阻抗下的S参数是不同的。例如,50欧电阻在
1. S参数依赖于系统阻抗


S参数的定义需要约定一个系统阻抗。同一个微波电路,在不同系统阻抗下的S参数是不同的。例如,50欧电阻在50欧系统阻抗下的S11为零,是没有反射的匹配状态;但50欧电阻在75欧系统阻抗下的S11不为零,是有反射的不匹配状态。对于单端口待测件,反射系数 Γ 可由负载阻抗 Z、系统阻抗 Z进行计算

图片

由公式计算可知,50欧电阻在75欧系统阻抗下的反射系数线性值为-0.2,对数值约为-14dB。

目前射频微波领域应用最为广泛的系统阻抗为50欧,但也使用一些其他的系统阻抗。例如,在广播电视领域广泛应用75欧系统阻抗;USB标准中使用85欧和90欧的差分阻抗,对应的单端阻抗为42.5欧和45欧。矢量网络分析仪的端口阻抗为50欧,应该如何测量非50欧系统阻抗的S参数呢?

2. 阻抗转换器

为了使用50欧端口阻抗的矢量网络分析仪测试75欧系统阻抗的待测件,可以使用阻抗转换器将矢网的端口阻抗转换为75欧。阻抗转换器是一个L型的匹配网络,它使得从75欧端口看去,原50欧阻抗变为了75欧,不存在反射;同样从从50欧端口看去,原75欧阻抗也变为了50欧。

图片
图1. L型阻抗转换器(Z1>Z2)

L型的阻抗转换器需要实现从两个方向看去都是无反射的状态,需要满足:

1). R2和Z2并联,再与R1串联后的阻抗等于Z1
2). Z1和R1串联,再与R2并联后的阻抗等于Z2

当Z1=75欧,Z2=50欧时,R1=43.3欧,R2=86.6欧。整个阻抗转换器的损耗约为5.7dB。

使用50至75阻抗转换器测量非50欧系统阻抗的待测件还是具有以下的缺点:

1). 阻抗转换器为额外的硬件,没有数学转换方便;
2). 测试系统还需要75欧的校准件和测试线缆;
3). 阻抗转换器具有损耗,会降低矢网的性能;
4). 只能覆盖一种特定系统阻抗,难以推广至任意的系统阻抗。

3. 使用数学方法进行系统阻抗的转换

如果可以使用数学算法进行系统阻抗的转换,测量非50欧系统阻抗的待测件就会方便很多。我们可以测量此待测件在50欧系统阻抗下的S参数,再通过数学方法变为任意其他系统阻抗下的S参数。

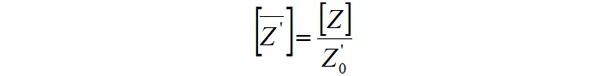
S参数矩阵在不同系统阻抗之间转换没有简单的数学公式可以实现。为了简化对此问题的理解,我们可以借助Z参数矩阵(即阻抗参数)来理解。阻抗参数可以不依赖系统阻抗,称为阻抗参数[Z];也可以按照系统阻抗进行归一化,称为归一化的阻抗参数图片。如果各端口的系统阻抗均为Z0,则:

图片

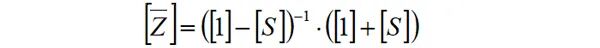
可见Z参数不依赖于系统阻抗,Z参数按某一系统阻抗归一化的公式很简单。归一化Z参数在不同系统阻抗之间切换也非常的简易。同时按某一系统阻抗归一化的Z参数图片与此系统阻抗下的S参数[S]之间可以通过公式进行转换。

图片

因此,我们可以按此步骤理解在数学上如何实现S参数在不同系统阻抗之间转换。
1). 首先将50欧系统阻抗(记为Z0)的S参数转换为50欧归一化的Z参数;

图片
2). 将按50欧归一化的Z参数转换为不归一化的Z参数;

图片

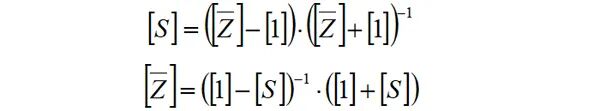
3). 将Z参数按其他系统阻抗Z0'归一化,归一化后记为图片

图片

4). 将按系统阻抗Z0'归一化的Z参数图片转换为S参数[S']。

图片

4. 矢网实测结果

将S参数在不同系统阻抗之间转换的数学计算非常复杂,但其实际操作却非常简单。矢量网络分析仪支持修改系统阻抗,这样就可以显示任意系统阻抗的S参数。

首先,矢网测量得到50欧系统阻抗下的S参数。下图为50欧双阴直通的测试结果,S11约为-35dB,S21约为-0.01dB。

图片
图2. 50欧系统阻抗时的测试结果

然后,在矢网的设置中修改系统阻抗。

图片
图3. 矢网修改系统阻抗的设置界面

最后,修改系统阻抗后S参数曲线数值会发生变化,得到其他非50欧系统阻抗的S参数。从下图中可以看出,当系统阻抗修改为75欧后,Z参数不变,而S参数发生变化。S11由-35dB变为约-13.5dB,S21由-0.01dB变为约-0.2dB。S11变化后的结果与理论计算的50欧负载在75欧系统中的反射系数一致。S21的变化则是由于有轻微的反射导致的传输系数下降。

图片
图4. 75欧系统阻抗时的测试结果



 
 
更多>同类行业资讯

推荐行业资讯
点击排行

工信部备案号:鲁ICP备2026007664号-3    版权所有  复材网信息科技(山东)有限公司     
热线:400 9692 921  电话:0534-2666809    传真:0534-2220102    邮箱:frp@cnfrp.com
 Copyright (c) 2002-2023 FRPTC.CN All Rights Reserved.   
     

鲁公网安备 37140202001606号