推广 热搜: 可回收  碳纤维  太阳能电池板  复合材料 

GPS有源天线OTA测试方法

   日期:2024-03-04     来源:微波射频网    浏览:175    评论:0    
核心提示:由于GPS采用卫星通信技术,其下行功率信号经由大气层以及其他环境因素(典型如在城市地区由于多径效应的影响)产生损耗,实际到

由于GPS采用卫星通信技术,其下行功率信号经由大气层以及其他环境因素(典型如在城市地区由于多径效应的影响)产生损耗,实际到达移动终端接收机的信号已十分微弱,这要求接收机有更为优良的性能。因此,对GPS无线接收系统的有源天线进行测量是十分必要的。本文借助蓝牙(Bluetooth)空口提出一种响应迅速、准确性高,且成本低的GPS有源天线测量(OTA)方案。


整机辐射性能的测试在手机射频性能测试中越来越受到重视,这种辐射性能测试反映了手机的最终发射和接收的能力。目前,主要有两种方法对手机的辐射性能进行考察:一种是对天线的辐射性能进行直接判定,即无源测试;另一种是在特定全电波暗室内,测试手机的辐射功率和接收灵敏度,称为有源测试。OTA(Over The Air)测试就属于有源测试。相比于传统的无源测试,OTA 测试着重衡量整机三维空间内的辐射性能测试,因而逐渐成为手机行业重视和认可的测试项目。目前,业内进行OTA测试的暗室环境主要有单天线测量和多探头测量两种(此外还有针对MIMO测试的混响室测量系统)其基本工作原理可简单描述为:


由于实际传输的矢量电磁波可以分成水平极化和垂直极化两个正交分量,因此通过一个或多个双极化测量天线(或RF探头)可以捕获测试机的辐射性能,并利用已知辐射特性的电偶极子或环型天线预先校准测量路径的损耗并补偿,最终通过天线经典理论计算可以得到测试机的有源天线收发性能(如图1)。


图片

图1-a、OTA发射性能(TRP)测试示意图


图片

图1-b、OTA接收性能(TIS)测试示意图


民用GPS使用L1频带(1575.42MHz±10KHz)为终端提供下行单项通信业务支持,主要用于导航、定位、授时和测速。这就对测量方案提出了挑战,因为单向通信(开环)系统无法形成有效的反馈机制,在天线测量过程中就会造成因天线方向性而产生测试不准确的情况,因而不能准确地一次性反映天线性能——尽管通过对测量结果二次分析可以纠正,但极大的影响测试效率,特别是在天线设计阶段。典型的GPS有源天线开环测量方案如图2所示。


图片

图2、GPS有源天线开环测量方案示意图


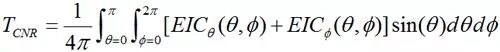
当待测终端(简称DUT)开机后,通过测量天线获取GPS信号发生器的特定信号——该信号可以是单星静态信号,也可以是多星动态信号(通过信道仿真器产生),控制端通过时间参量不断控制暗室转台的状态和极化分量的切换,以实现测量。DUT则将获取的GPS信号通过接收机进行射频和基带处理后,获取数据的载噪比CN0,以此作为GPS测量的最终数据保存在其存储设备中。测试完成后,DUT需要将该数据导出给控制PC做分析处理。PC在补偿相应的信号传输路径损耗,最终根据经典天线理论,计算得出该天线在三维空间中的总体辐射性能TCNR:


图片

其中,EICi表示在处于双极化测量天线不同极化分量下的空间某点CN0值。


由于典型的手机方案中GPS接收机在强信号下易出现堵塞,而在弱信号下又易出现失真(测试结果见图3),因此若想准确得到测试结果可能需要多次反复测试,不断修正信号源的发射功率值,但开环测量系统本身无法及时获取信号源最优的调整量,测试过程中没有依据可以动态地调整信号源功率,甚至会出现多次反复测量仍无法准确获取整机接收性能的情况。


图片

图3、终端GPS接收机性能


出于以上考虑,行业内也出现了一些闭环测量方案:即系统通过WLAN空口(IEEE 802.11体系标准)将GPS测量数据及时回传给控制处理单元分析,并根据分析结果实时调整GPS信号源。该方案可以有效地解决开环系统的缺陷,但实际使用过程中,由于目前智能终端产品方案上多为WLAN/GPS/BT/FM等业务无线业务共集成电路IC,WLAN在传送数据时(一般地,终端发射机发射功率不小于10dBm)引起IC底噪升高,可能会造成对GPS接收机的额外干扰,相关的实验室测试结果见表1,采用正常GPS、蓝牙加扰GPS和WLAN加扰GPS的对照测试方法,在GPS中等接收水平下(载噪比35dB左右)静态模拟8颗GPS卫星,观察不同实验组的GPS冷启动时间差异。每个实验组选取十个样本观察值(从中去除最大和最小值),观察结果可见,蓝牙加扰的影响要小于WLAN。虽然不同IC方案商提供一些功率控制手段可缓解此类问题,但平台和平台之间没有相应的行业标准规范,因此实际测量方案中缺乏通用性。


表1-a 加扰模式下的GPS冷启动时间(单位s)

次数/模式

常规

+BT

+WLAN

1

33.0

39.0

33.0

2

22.0

33.0

34.4

3

24.0

21.7

31.3

4

35.1

37.8

20.2

5

29.9

25.8

37.3

6

36.2

20.8

32.3

7

29.6

38.1

37.2

8

38.3

31.6

34.6

9

27.6

35.4

25.4

10

36.9

29.0

37.4

表1-b 测试结果分析


正常

+BT

+WLAN

平均值(s)

31.5

31.6

33.2


由于一般终端蓝牙(IEEE 802.15体系标准)空口发射功率比WLAN要低得多(一般手机终端蓝牙发射机输出功率不大于0dBm),同时作为一项成熟的无线通信方案也具备传输可靠、静态较低传输时延(典型为毫秒级)的特点,因此可以通过蓝牙空口作为形成GPS天线测量闭环系统的手段。通过对现有实验室环境改造升级可以方便地支持GPS天线测量需求。


以带有Android操作系统的终端为例。全波暗室采用单天线测量系统ETS-2090。其双极化测量天线经RF开关控制器与GPS信号发生器Agilent E4438C相连,内置通信天线与辅助设备(另一具有蓝牙功能的Android智能手机)相连,而辅助设备通过USB接口与控制PC相连。


图片

图4、GPS有源天线闭环测量方案示意图


系统的整体运行思路如图4所示。PC开机激活特定的测量软件,完成与辅助设备的接口通信准备,并初始化所有测量仪器;待测智能终端通过特定的APP开启蓝牙与辅助设备(蓝牙地址唯一)配对通信,GPS信号源初始化后试探性地发射一个信号值X0,经空口衰减后被DUT接收,经过解析获取载噪比CN0,通过蓝牙空口以数据流的形式传递给辅助设备,辅助设备将蓝牙数据流转换成串口数据流后反馈给控制PC,控制PC根据反馈的数据判断是否可接受,若低于(或高于)门限则控制信号源相应的调节输出功率X1,从而形成测试系统的闭环。


使用该测量方案的测试情况如图5,通过实现测量实时调节,不仅可以得到更为准确的测试结果,还可以获取清晰的过程数据,方便对天线进行辐射方向图的分析。


图片 图片

图5-a、闭环系统测试结果              图5-b、闭环系统过程数据


本文提出一种利用蓝牙空口作为GPS闭环测量手段的测试方案,该闭环测量方案借助高效的算法可以实现数据的实时纠正,并配合软硬件自动化接口使得测量过程中不需要人为介入,对提高测试准确性和测试效率有一定的借鉴意义。


 
 
更多>同类行业资讯

推荐行业资讯
点击排行

工信部备案号:鲁ICP备2026007664号-3    版权所有  复材网信息科技(山东)有限公司     
热线:400 9692 921  电话:0534-2666809    传真:0534-2220102    邮箱:frp@cnfrp.com
 Copyright (c) 2002-2023 FRPTC.CN All Rights Reserved.   
     

鲁公网安备 37140202001606号