超声成像的研究最早可追溯到20世纪30年代,著名的原苏联科学家S. J. Sokolov于1935年完成了液面成像装置,在超声成像研究方面为声学界做出了重大贡献。在40年代出现的脉冲回波探伤仪器成为超声波检测技术的重要标识。其后由于技术上的种种原因,超声成像研究进展缓慢。20世纪60年代末,由于电子技术、计算机技术和信号处理技术的飞速发展,超声成像研究恢复了生机。20世纪70年代形成了几种比较成熟的方法,大量商品化设备上市,在医学诊断中得到极其广泛的应用,并在工业材料超声检测中逐渐得到大量应用。超声成像是现代定量无损检测的一种重要技术,有着非常广泛的发展前景。
扫描超声成像是超声检测数据的视图显示,最基本的超声扫描方式有A扫描、B扫描、C扫描、D扫描、S扫描、P扫描等,它们分别是超声脉冲回波在荧光屏上不同的显示方式。表1给出了以上扫描方式的显示方法和特点。
A型显示
波形显示,将超声信号的幅度与传播时间的关系以直角坐标的形式显示。横坐标代表声波的传播时间,纵坐标代表信号幅度。
B型显示
图像显示,是工件的一个二维截面图。横坐标代表探头在工件表面的一条直线扫查的距离,纵坐标代表声传播时间(距离)。显示被检工件任一纵截面上缺陷的分布及缺陷的深度。
C型显示
图像显示的是工件的一个平面投影图。图的二维坐标对应探头的扫查位置,工件中缺陷的形状和深度以亮度或颜色表示。
D型显示
图像显示的是与声束平面及测量表面都垂直的剖面。横坐标代表的是探头在工件表面的一条直线扫查的距离,纵坐标代表声传播时间(距离),显示被检工件任一纵截面上缺陷的分布及缺陷的长度。
P型显示
是一种同时显示C扫描图像(侧视)和D扫描图像(侧视)的成像系统。
相控阵探头
ALOK超声成像
其成像原理如下图所示,在采集数据时不加时间闸门,测量系统记下探头在各测量点Pi得到的回波串中所有的正峰值及其出现的时间。ALOK允许32个不同的探头同时在收集数据,成像和数据分析事后在计算机上进行。根据几何声学原理,回波的传播时间τik在重构空间中确定了圆心在测量点Pi、半径rik=τik/v的一条圆弧。许多圆弧的交点就是重构出的缺陷的像点,回波振幅用来对重建图像作修正。振幅修正后可提高信噪比约20 dB。
缺陷处A扫信号
确切地掌握检测对象具体的内部结构,如裂缝出现在哪个位置,形状大小如何。
结构比较复杂且材料较为多样的物体同样适用。
有较高的精度。
超声CT技术
(1) 无散射CT技术
超声无散射CT技术
(3) 超声衍射CT技术
超声衍射CT的基础理论是Fourier衍射投影定理。根据数据采集位置不同,超声衍射CT可以分为两类,即透射型超声衍射CT和反射型超声衍射CT。
(4) 超声散射CT技术
超声衍射CT只考虑检测信号的幅值信息;反射式超声CT和逆散射方法在理论模型上虽然兼顾了超声信号的幅值和相位,但是在具体反演成像的过程中,由于采用了不同程度上的近似,实际是对信号进行了不同程度的截断和滤波,从而破坏了信号中原有的信息。而超声散射CT是以时域内的全波列信号为研究对象提出的一种直接利用时域信号的幅值和相位信息进行断层图像重建的方法,这种方法只需要在有限的空间范围内采集信号,即可重建出质量较高的图像。由于使用的回波信号中包含了多种声波信号,因此被称为超声散射CT。
合成孔径聚焦的基本原理如下图所示:当一超声收、发探头沿直线移动,每隔距离d发射一个声波,同时接收来自物体各点的散射信号并加以储存。根据各成像点的空间位置,对接收到的信号作适当的声时延或相位延迟后再合成得到的被成像物体的逐点聚焦声像,就是合成孔径成像技术。
合成孔径聚焦原理图
从发射来看,当一探头移到第i点时,它在以前一系列点上发射声波形成的声场,等效于以线阵列的阵元延时辐射的声场。这样,单个探头配合其运动的驱动系统和信号存储系统,就合成为一个大尺度的换能器阵。
从接收来看,如果要得到物体内A点的成像信号,只需把探头在各检测点上所得到的信号中对应从A点到各测点来回传播的声时的该时刻上信号幅度相加。而这等价于把A点处理成聚焦点。由于利用微机可以把物体内任何一检测点都作为焦点来处理,这就使合成孔径成像有高的分辨率。
与其他成像方法相比,合成孔径成像有两个显著特点:
(1)方位分辨率与作用距离R和声波波长l无关。这表明,采用合成孔径技术可以用小孔径的实际基元换能器和较低的工作频率,对位于远处的目标物作具有高方位分辨率的探测、观察。突破了经典概念的限制,解决了直接成像技术中对系统设计参数的一些互相矛盾的要求。
(2)合成孔径成像具有近场适用性。合成孔径成像突破了常规声成像适用于远场限制,这是因为合成孔径系统中,它是由一个小孔径基元换能器沿一定轨迹移动,依次发射及接收声波,不存在多个声波辐射的声波束之间的相互干涉,可视为单点源工作。
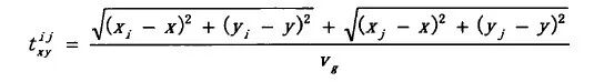
椭圆成像的原理是:在数学中,椭圆是平面上一点到两个固定点的距离之和是同一个常数的轨迹,并称这两个固定点叫做焦点。所以当超声Lamb波的散射时间t和传播群速度Vg确定时,则超声Lamb波经过缺陷散射后被接收传感器所接收的传播距离L就可被确定,即以激励传感器和接收传感器为焦点确定了一个椭圆的轨迹,而缺陷就在这个椭圆轨迹上。
如果再换一组传感器进行激励和接收,同样也可以得到一个椭圆。两个椭圆的交点即为缺陷可能所在位置,要确定缺陷的位置最少需要三对传感器进行定位,这就是椭圆成像算法的原理。
椭圆成像算法原理图
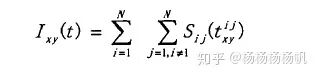
这个时间为信号从第i个传感器经缺陷(x,y)到达第j个传感器的时间。用以下两种方式来表示(x,y)点的信号强度:
(1) 幅值全加法
(2) 幅值全乘法
其中N表示有N个传感器,每一个传感器激发后剩下的(N-1)个传感器作为信号接收传感器来接收信号,重复这N个传感器的过程一共可得到N(N-1)/2组信号,把这N(N-1)/2个信号的强度进行叠加或者相乘就是缺陷所在点(x,y)的信号强度,即Ixy(t)。






