1导读
先进复合材料以其优异的力学性能及在结构减重方面的巨大潜力已经被广泛应用于航空航天等领域,其用量多少已经成为衡量一个国家高端装备技术发展水平的重要标志之一。疲劳分层是导致航空航天复合材料结构失效的重要原因,纤维桥联作为一种重要的裂纹扩展屏蔽机制(如图1所示),对疲劳分层扩展存在显著影响。
美国联邦航空管理局FAA于2009年将民机复合材料结构的适航认证标准由先前的“无裂纹扩展”修改为“缓慢的裂纹扩展”;适航认证标准的修改,必然会对民机复合材料结构设计、分析和认证产生深远影响。为此,欧洲结构完整性协会ESIS TC4和美国材料与试验协会ASTM D30近年来均致力于复合材料I型疲劳分层扩展试验标准的研究和制定。其中,纤维桥联是该标准制定过程中需要重点考虑的一个核心问题。

图1. 复合材料疲劳分层扩展中的纤维桥联现象
哈尔滨工业大学(HIT)姚辽军副教授团队针对纤维桥联作用下的复合材料Ⅰ型疲劳分层扩展问题开展了一系列的研究工作。本文对研究团队近年来开展的系列研究工作及基本学术思想进行了总结和概括。建立了有效考虑纤维桥联作用的复合材料I型疲劳分层扩展试验流程;阐明了纤维桥联在疲劳分层扩展中的作用机理和影响规律;提出了满足相似性原理的疲劳分层扩展准则;实现了对不同纤维桥联强弱下复合材料疲劳分层扩展的有效分析和表征;探索了相关因素对疲劳分层扩展的影响规律。
该系列研究工作对复合材料Ⅰ型疲劳分层扩展ISO国际试验标准的制定具有重要的指导意义,为复合材料疲劳分层扩展研究提供了试验方法和分析预测模型方面的保证。该综述文章发表于中文核心期刊《航空学报》之上,论文标题为“纤维桥联作用下的复合材料Ⅰ型疲劳分层扩展研究”。
2内容简介
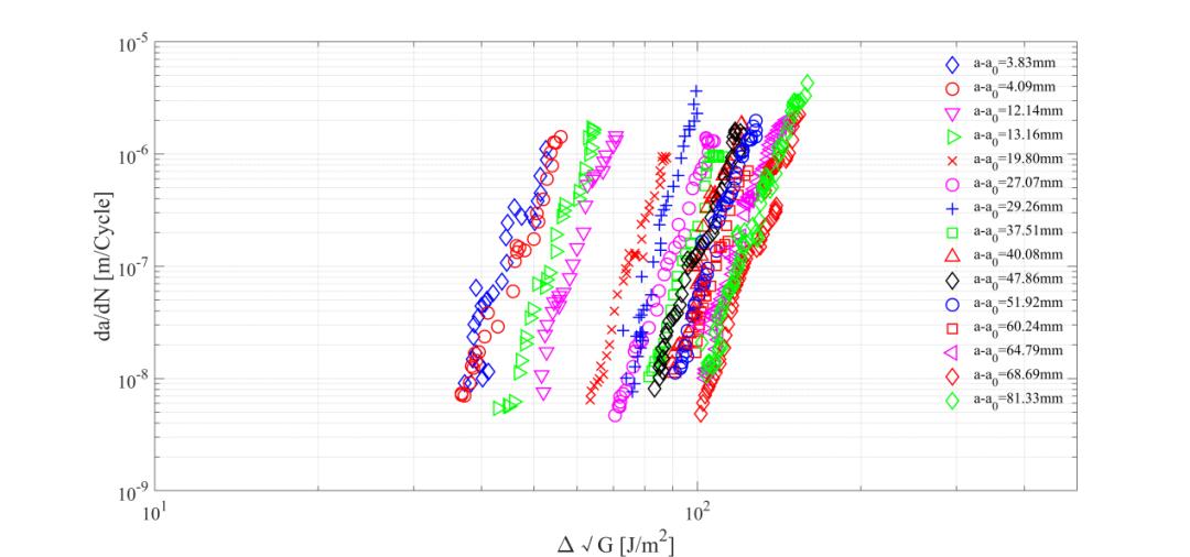
首先,以传统Paris准则为基础(详见公式(1)),探索了纤维桥联对复合材料I型疲劳分层扩展的影响规律和机理;研究发现,纤维桥联对疲劳分层扩展存在显著的抑制作用,随着纤维桥联作用的增强,Paris疲劳分层扩展曲线将逐渐向右平移并最终收敛为一个窄的带状区域,如图2所示。以此为基础,设计出了一种有效考虑纤维桥联作用的复合材料疲劳分层扩展试验测试流程,如图3所示。采用该试验测试流程,能够有效考虑纤维桥联对疲劳分层扩展的重要影响,获得不同纤维桥联强弱下的复合材料疲劳分层扩展数据。该试验测试流程已经被欧洲结构完整性协会ESIS TC4应用于最新一轮(2018-2023)的复合材料I型疲劳分层扩展国际试验测试标准的循环比对研究当中。
公式(1)

图2. 基于传统Paris准则的疲劳分层扩展分析

图3. 纤维桥联作用下的疲劳分层扩展试验测试流程
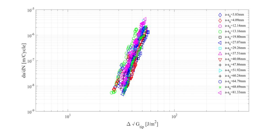
基于传统Paris准则的疲劳试验分析结果表明:相同Δ√G值条件下,纤维桥联作用下复合材料的疲劳分层扩展行为显著不同,不满足疲劳裂纹扩展的相似性假设和要求。为了阐明纤维桥联作用下复合材料疲劳分层扩展中的相似性,研究团队以J-积分理论为基础,结合疲劳分层扩展能量耗散分析和微观损伤演化机理分析,阐明了纤维桥联作用下的复合材料疲劳分层扩展能量耗散规律,明确了纤维桥联对疲劳分层扩展中能量耗散的影响机理,揭示了不同纤维桥联强弱下复合材料疲劳分层扩展损伤失效机制的异同。研究结果表明,纤维桥联作用下的疲劳分层扩展过程中,主要的能量耗散集中于分层前缘附近,桥联纤维中的能量耗散相对有限(即疲劳载荷作用下,桥联纤维仅是周期性的存储和释放应变能,并不会导致明显的、永久性的能量耗散),如图4所示。同时,纤维桥联强弱对疲劳分层扩展断面的典型微观损伤特征无显著影响;不同纤维桥联强弱下,疲劳分层扩展断面的典型微观损伤特征均为纤维/基体界面脱粘产生的大范围纤维压痕(Fibre prints)和局部区域出现的基体脆性断裂(如Hackles, riverlines等特征),如图5所示。这些分析表明,纤维桥联作用下的复合材料I型疲劳分层扩展中,裂纹尖端附近的损伤演化始终是一种自相似的扩展。据此,研究团队提出了一个新的疲劳裂纹扩展相似性参数,建立了改进的Paris准则(详见公式(2)),实现了纤维桥联作用下复合材料疲劳分层扩展的有效分析和表征;不同纤维桥联强弱下的试验结果将收敛于一个窄的带状区域,满足疲劳裂纹扩展的相似性假设和要求,如图6所示。

图4. 纤维桥联作用下疲劳分层扩展能量耗散分析

(a) 短裂纹 (b) 长裂纹
图5. 不同纤维桥联强弱下疲劳分层扩展断面微观损伤特征分析

公式(2)

图6. 基于改进的Paris准则的疲劳分层扩展分析
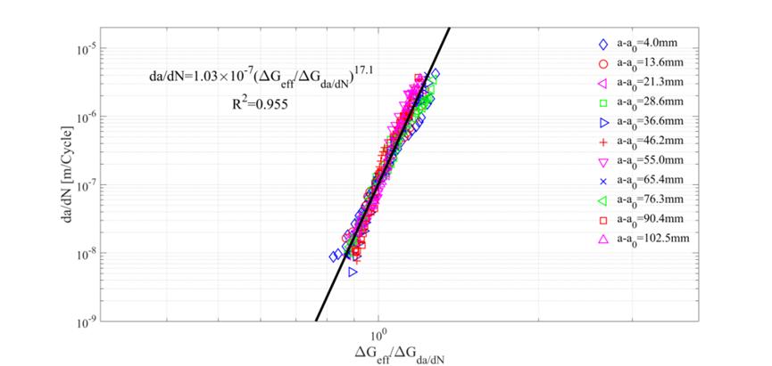
数据分散性是疲劳研究中的一个重要问题,针对复合材料疲劳分层扩展研究中存在的数据分散性问题,研究团队以改进的Paris准则为基础,提出了一个正则化形式的疲劳分层扩展准则,详见公式(3)。研究表明,采用该准则对纤维桥联作用下的复合材料I型疲劳分层扩展试验结果进行分析,能够有效降低试验分析结果的分散性,如图7所示。

公式 (3)

图7. 基于正则化模型的疲劳分层扩展分析
为了考虑应力比R的影响,研究团队以改进的Paris准则为基础,结合对疲劳载荷的完整性描述,提出了一个双参数形式的疲劳分层扩展准则,详见公式(4)。采用该准则对不同应力比、不同纤维桥联强弱下的疲劳分层扩展试验结果进行分析表明,不同应力比条件下的试验分析结果均位于同一个窄的带状区域中,可以用一条疲劳分层扩展主曲线对复合材料的分层扩展行为进行有效的描述和表征,如图8所示。

公式 (4)

图8. 基于双参数模型的疲劳分层扩展分析
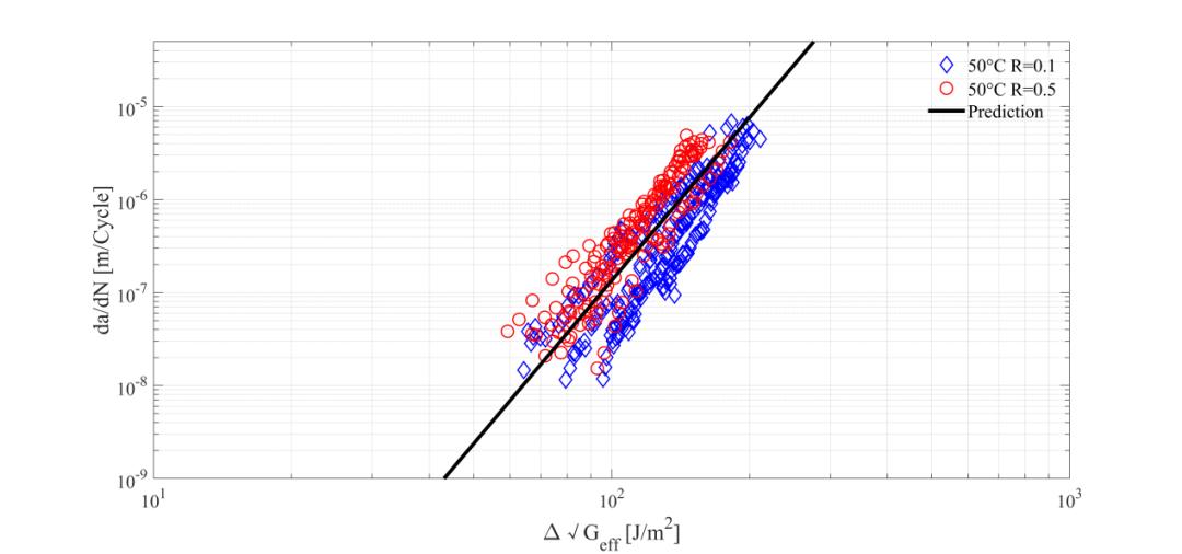
研究团队以该双参数形式的疲劳分层扩展准则为基础,对不同应力比、不同温度环境下的疲劳分层扩展试验结果进行了详细的分析和讨论,探索了温度环境对疲劳分层扩展的影响规律。研究表明,在给定的温度环境下,不同应力比下的疲劳分层扩展试验结果均可以采用一条分层扩展主曲线进行描述,如图9所示。同时,研究表明,疲劳分层扩展速率随着温度的升高而上升。对不同温度环境下的疲劳分层扩展断面进行SEM分析观测发现,纤维/基体界面结合性能随温度环境的变化是导致疲劳分层扩展速率随温度升高而上升的主要原因。

图9. 不同温度环境下的疲劳分层扩展分析
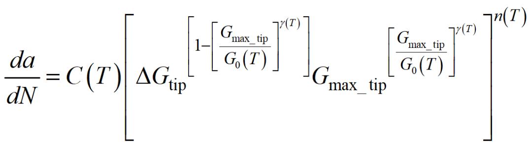
以图9中基于双参数疲劳分层扩展模型的分析结果为基础,研究团队通过进一步探索双参数模型中的相关参数随温度环境的变化规律,建立了考虑温度影响的疲劳分层扩展模型,详见公式(5)。研究表明,采用该模型能够对不同温度环境下的复合材料疲劳分层扩展行为进行有效的预测,如图10所示。

公式 (5)

图10. 不同温度环境下的复合材料I型疲劳分层扩展预测
3小结
文章针对纤维桥联作用下的复合材料I型疲劳分层扩展问题,对研究团队近年来开展的系列研究工作进行了总结、概况和提炼。阐明了纤维桥联对疲劳分层扩展的影响规律及机理;建立了有效的试验测试流程和不同形式的疲劳分层扩展准则,实现了纤维桥联作用下复合材料疲劳分层扩展的有效分析和表征;探索了温度环境对复合材料疲劳分层扩展的影响规律和机理。为复合材料I型疲劳分层扩展ISO国际试验标准的建立提供了重要依据,为复合材料结构设计、寿命分析评估提供了分析方法和模型保障。
原始文献:
[1] 姚辽军,魏景超,陈向明,啜明月,李含月,果立成。纤维桥联作用下的复合材料I型疲劳分层扩展研究。航空学报,2024,1-17.
原文链接:
http://kns.cnki.net/kcms/detail/11.1929.v.20240603.1555.004.html.
[2] Liaojun Yao, Mingyue Chuai, Zhangming Lyu, Xiangming Chen, Licheng Guo, R.C. Alderliesten. A proposal for similitude in characterizing fatigue delamination behavior with fibre bridging of carbon-fibre reinforced polymer composites. Engineering Fracture Mechanics 2024. 295: 109756
[3] Liaojun Yao, Mingyue Chuai, Hanyue Li, Xiangming Chen, Dong Quan, R.C. Alderliesten, M. Beyens. Temperature effects on fatigue delamination behavior in thermoset composite laminates. Engineering Fracture Mechanics 2024. 295: 109799
[4] Liaojun Yao, Mingyue Chuai, Jurui Liu, Licheng Guo, Xiangming Chen, R.C. Alderliesten, M. Beyens. Fatigue delamination behavior in composite laminates at different stress ratios and temperatures. International Journal of Fatigue 2023. 175: 107830
[5] Liaojun Yao, Hao Cui, Licheng Guo, Yi Sun. A novel total fatigue life model for delamination growth in composite laminates under generic loading. Composite Structures 2021. 258: 113402






