何宇琪,涂莹谦,芶俊轶
中国石油天然气股份有限公司 西南油气田分公司 重庆气矿
商秋仙
重庆大学 机械与运载工程学院
螺栓作为连接各类结构的重要部件,广泛应用于航天航空、水利桥梁、铁路建筑等领域的大型工业设备以及钟表仪器等生活常用物品中。螺栓在装备或者结构中所承受的载荷应力必须在适当的范围之内,否则会对整个设备的安全性和可靠性产生巨大影响,因此科学、准确地检测螺栓轴向应力对螺栓连接结构至关重要。
当前,螺栓轴向应力检测的常用方法主要包括扭矩扳手法、电阻应变片法、X射线衍射法、压电检测法、光测力学法和超声无损检测法等。
与其他几种方法相比,超声检测法具有操作简单、可靠性强、测量精度较高等特点,广泛应用于螺栓轴向应力的测量中。
超声应力测量方法主要基于声弹性原理,可分为单波法和双波法。使用单波法测量螺栓轴向应力时,必须测量无应力条件下超声波在螺栓中传播的渡越时间,难以测量已紧固螺栓的轴向应力。
由于不需要预先确定螺栓的长度,因此双波法更易于测量已紧固螺栓的轴向应力。但横波的声弹性常数相较于纵波的会更低,导致横波渡越时间的变化对应力的敏感性很差,因此双波法比单波法的测量精度更低。同时双波法必须激发两个不同模式的超声波或者使用两个超声换能器,安装和测量的程序更加复杂,而可能产生更多的随机误差。
此外,对于强度较高且长度较短的螺栓而言,应力使超声波在螺栓中的渡越时间变化更加微小,进一步限制了单波法和双波法的推广应用。
近年来,国内外研究人员围绕该领域进行了大量研究,但各种方法均不能全面反映整个有效频段内不同频率成分对衰减系数的贡献程度,从而导致衰减系数计算不准确,影响测量精度。
本文使用粒子群优化算法确定各频段衰减系数最优归一化权重系数,最后建立多频段加权能量衰减系数模型。试验结果表明,相对于单波法和双波法,该方法的测量精度更高,尤其是对高强度短螺栓的效果更为明显,具有较好的实用价值。
多频段加权能量衰减系数模型
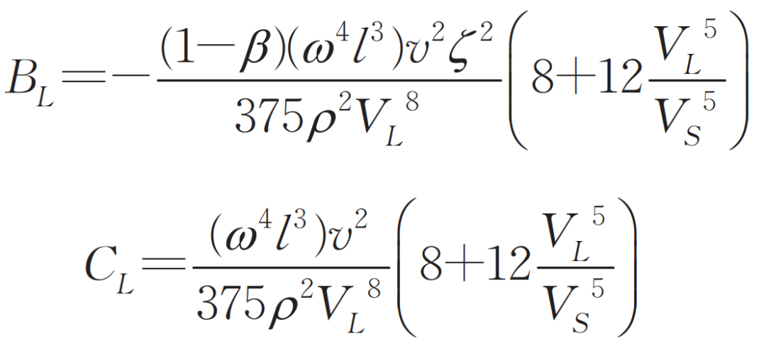
试验所用螺栓的结构示意如图1所示。假设该金属螺栓属于无织构各向同性多晶体材料,故其微观结构由取向独立且由弹性性质随机分布的晶粒组成。 图1 试验所用螺栓的结构示意 当弹性波从螺栓端面入射时,该弹性波会在晶界处发生散射,声能向各方向扩散,从而能量发生损耗。当螺栓受载时,其有效受力长度不仅包括夹紧长度Lc,故将螺栓有效受力长度重新定义为: (1) 式中:Dt和Dr分别为螺栓杆螺纹部分等效直径和无螺纹螺栓杆直径。 当入射波为纵波时,结合散射原理,再进一步简化可得瑞利散射区的纵波衰减系数为: (2) 式中: 式中:夹紧比例系数定义为β=Le/L0,ω为中心频率,ω=2πf0;l为质晶粒平均直径;v为二阶各向异性常数;ρ为材料密度;ζ为综合各向异性常数;σ为轴向应力;VL和VS分别为纵波和横波的相速度,(ωl)4/V2≪1。 为避免超声波检测信号中噪声对超声衰减系数的干扰,更加全面地反映超声信号的各频率成分对衰减系数的贡献,本文利用超声第一次和第二次回波信号的频谱能量比值计算螺栓试件中的超声衰减系数。由于该衰减系数与超声回波信号的能量息息相关,也被称为频谱能量衰减系数。 超声回波时域信号曲线如图2所示,根据超声回波特点,采用矩形窗口截取第一次底面回波信号v1(t)和第二次底面回波信号v2(t),将时域回波信号转换为频域信号。 图2 超声回波时域信号曲线 衰减系数对超声信号的频率比较敏感,在不同频率下测得的衰减系数并不相同。为提高模型参数标定的效果以及螺栓应力的测量精度,需要构造螺栓轴向应力与衰减系数拟合精度较高的曲线。 本文基于粒子群优化算法获得不同频段下的超声衰减系数的最优归一化权重系数,从而获得一个多频段加权能量衰减系数作为最终的衰减系数,以更加准确地测量螺栓轴向应力。最后得到多频段加权能量衰减系数为(具体推导方法请参见原文): (3) 结合式(2)和式(3)即可进行参数标定和测量试验。
试验系统及螺栓试件制备
试验系统构成如图3所示,主要包括拉伸试验机、超声换能器、超声脉冲发射卡、脉冲发射和数据采集卡、工控机。 图3 试验系统构成 使用由上海协强公司设计的CTM2200S型拉伸试验机,其内置压力传感器,测力精度为0.3%。 超声换能器使用OLYMPUS公司的A112S-RM型纵波探头。超声发射接收板卡采用美国IMAGIMANT公司的JSR PRC50型板卡,最大激励电压可达475 V,该板卡集成了一个前置放大器,其放大范围为-14~60 dB。 数据采集卡为AD-link PCIe9852型板卡,采样位数为14位,最大采样频率可达200 MHz。 选用美国BSI公司的FieldGo N9 ATX型工控机,该工控机将PRC50脉冲发射卡和PCIe-9852数据采集卡通过PCI卡槽集成,从而进行脉冲发射与信号采集工作。超声脉冲发射接收卡以及数据采集卡均通过PCI总线集成在工控机内。 拉伸机集成了压力传感器,工控机可以通过RS232串口与拉伸试验机控制盒进行通信,实现拉伸试验机动作以及压力传感器读数。选取不同规格的两颗螺栓作为试验对象,螺栓试件实物及其详细参数如图4所示。 图4 螺栓试件实物及其详细参数
螺栓参数标定试验
为避免温度变化对材料衰减和声速的影响,整个试验装置位于实验室中,在参数校准试验以及应力测量试验期间,通过中央空调保持环境温度恒定,将温度波动范围控制在±1 ℃内。 首先使用拉伸机对试件A和B施加0~200 MPa的载荷,加载步长为10 MPa。两颗不同长度和强度等级的试件在不同夹紧长度下,分别使用衰减系数法、单波法以及双波法得到的标定数据和拟合结果如图5所示。 图5 使用不同方法的螺栓应力标定数据和拟合结果 由图5可以看出,随着夹紧长度的变化,拟合曲线的斜率也会发生变化。因此需对模型参数进行校准,取不同夹紧长度对应的参数a和b的平均值作为校准后的参数,从而得到校准模型用于螺栓应力测量,校准结果如表1所示。 表1 螺栓试件在不同方法下的参数标定结果 则3种方法校准后的螺栓A和B参数标定模型分别为: 由图5可知,衰减系数法对试件A和B的标定精度更高,对高强度短螺栓B的标定精度更高,拟合线性度更好。而单波法和双波法对试件A和B的标定精度相对较低,对螺栓B的拟合线性度较差。 由此可知,本文所提出的多频段加权衰减系数法更适合测量高强度短螺栓的应力。
螺栓应力测量试验
利用上述试件标定结果进行应力测量试验。对试件进行加载,加载范围为0~200 MPa,加载步长为20 MPa,采集回波信号计算衰减系数和渡越时间。 其中,通过第一次底面回波和第二次底面回波计算多频段加权能量衰减系数,单波法需要计算超声纵波在螺栓受载前后的渡越时间差值,双波法需要获取螺栓在受载状态下的纵横波渡越时间,计算出其比值。 最后,将衰减系数、渡越时间差和渡越时间比分别代入标定试验建立的模型中,分别得出3种方法下的应力测量结果。试件A和B分别在3种方法下的测量结果如表2和3所示。 表2 试件A在3种方法下的应力测量结果 表3 试件B在3种方法下的应力测量结果 由表2可知,所提多频段加权衰减系数法对强度等级为8.8级的螺栓试件A具有较好的测量效果,平均绝对误差和平均相对误差分别为3.82 MPa和4.57%。 当螺栓处于低应力状态下时(即轴向应力小于80 MPa),单波法和双波法均会产生较大的测量误差,且双波法的测量误差最大。其中,螺栓试件A的单波法测量的平均绝对误差和平均相对误差分别为4.86 MPa和5.78%,双波法的测量平均绝对误差和平均相对误差分别为12.94 MPa和14.79%。 这是因为采集卡的最大采样频率为200 MHz,分辨率只有5 ns,采集信号会损失许多跨越时间信息。另外,换能器产生的超声波必须通过耦合剂才能进入螺栓内部,且横波探头所用的耦合剂稳定性较差,从而引入了更不可控的耦合误差。 因此,使用双换能器的双波法测量效果比使用单换能器的衰减系数法和单波法的差很多。 由表3可以发现,对于强度等级为10.9的高强度短螺栓B来说,渡越时间受螺栓轴向应力影响产生的变化量进一步降低,从而导致单波法与双波法的测量误差急剧增大。尤其是对于双波法而言,螺栓B的平均绝对误差和相对误差分别达到了16.47 MPa和17.05%,已经难以满足工程应用需求。 相反,与螺栓A相比,螺栓B的衰减效应更加明显,其超声回波的能量衰减系数对螺栓所受轴向应力更加敏感。利用衰减系数法测量螺栓B轴向应力的平均绝对误差和平均相对误差分别为2.90 MPa 和3.09%,可满足工程应用的需求。 3种方法相对测量误差的箱线图如图6所示,图中IQR为四分位距,该图直观地展示了衰减系数法、单波法、双波法的应力评估效果以及稳定性。 图6 3种方法的螺栓应力测量误差分析 总体而言,衰减系数法的测量误差明显小于单波法和双波法,特别是测量短螺栓时仍能保持较高的测量精度,衰减系数法的测量效果并未因螺栓长度更短和强度更高而受到影响。 然而,单波法和双波法对高强度短螺栓的测量精度和稳定性明显降低。因此,相较于单波法和双波法,衰减系数方法对螺栓轴向应力的测量精度和稳定性均有提升,更适用于高强度短螺栓连接的工业场景,具有一定的工程应用价值。
结语
研究了超声波在受载多晶螺栓中的传播特性,提出了一种基于多频段加权超声能量衰减系数的螺栓轴向应力测量方法,并通过标定和测量试验证明了该方法的有效性。
试验结果表明,该方法对不同强度螺栓的测量平均相对误差明显低于单波法和双波法,尤其是对高强度短螺栓测量平均相对误差仅为3.09%,能满足大多数测量精度需求,具有一定的应用价值。
来源:《无损检测》2024年12期
第一作者简介:何宇琪,工程师,主要从事集输工艺的研究工作。






