导波因具有其在不同波导材料(如板材、管道和任意截面棒材)中传播距离长及对各种损伤(如裂纹、腐蚀和分层)检测灵敏度高的特点,在无损检测和结构健康监测中得到了广泛应用。
为了开发新型多功能材料及黏弹性各向异性层压复合材料的无损检测和结构健康监测技术,研究黏弹性各向异性波导的黏弹性动力学模型(如传播和非传播导波模态的数学物理方程)具有重要意义。
纤维增强复合材料具有很高的比强度,在开发航空航天、先进船舶和汽车应用的轻质结构方面具有巨大潜力。然而,这些工程材料在生产和使用过程中不可避免地会出现分层、纤维断裂和基体开裂等内部缺陷。
与各向同性金属结构相比,其固有的各向异性和独特的内部缺陷使纤维增强复合材料的无损检测和损伤监测更具挑战。
超声导波在黏弹性复合材料管中的传播特性极为复杂,圆柱体的层状结构、曲率以及材料的固有各向异性等都会影响导波的传播。此外,材料黏性的引入进一步加剧了问题的挑战性。
为此,本文利用LOPE方法结合Kelvin-Voigt模型推导出多层黏弹性空心圆柱体中纵向超声导波的特征方程,提出一种改进的寻根算法对特征方程进行求解,研究了黏性常数和径厚比效应对频散及衰减特性的影响。最后,计算了三维复波数-频率频散曲线并对非传播模态进行了阐释。
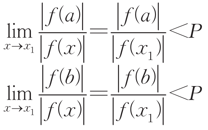
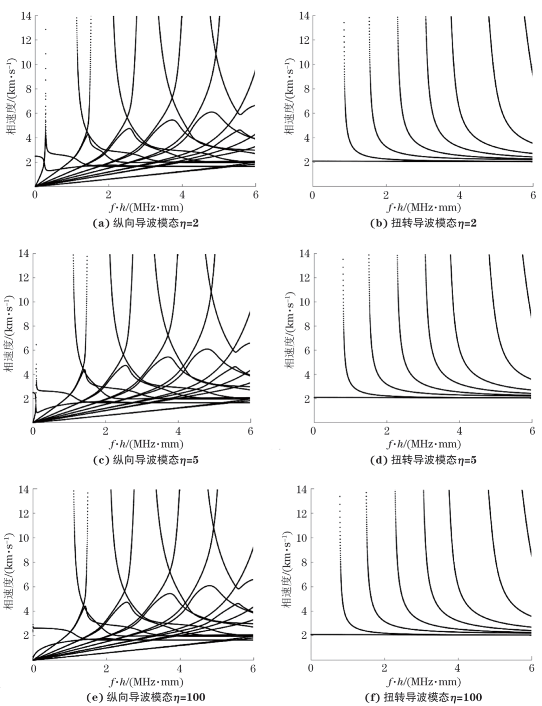
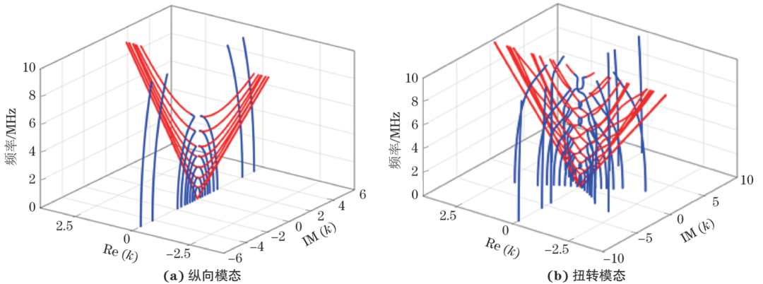
问题描述与基本方程 多层空心圆柱体结构如图1所示,考虑总厚度为h的N层轴向无限长空心圆柱体。假定各组分层介质均匀,每一层均由正交各向异性的黏弹性材料构成。在圆柱坐标系(r,θ,z)中,h1和hN分别为内半径和外半径,径厚比定义为η=hN/h,假定波沿z方向传播。 图1 多层空心圆柱体结构示意 在波的传播过程中,假设体力为零,建立黏弹性空心圆柱体的动力学方程。基于小变形假设,得到应变和位移之间的关系,以及空心圆柱体的本构关系。基于Kelvin-Voigt模型,并为了区分沿径向的不同材料特性,引入矩形窗函数,经过系列推导得到位移形式的波动控制方程,根据该控制方程可知多层空心圆柱体系中的波动控制方程是解耦的。 为了求解多层空心圆柱的波动控制方程,将位移展开为Legendre正交多项式级数,最后得到超声导波纵向模态表达式为: 超声导波扭转模态表达式为: 通过求解复波数k和角频率ω,即可获得相应模态的频散曲线和衰减曲线。 改进的寻根算法 不同于有些研究将各向异性层状复合材料的频散方程求解问题转化为特征值问题,本文利用迭代寻根算法求解方程。 尽管常用的迭代寻根算法,如二分法和牛顿-拉夫逊法,已被证明适用于求解弹性材料的频散特征方程,但在处理黏弹性材料时存在困难。为此,本文提出了改进的模量比寻根算法,并实现基于LOPE方法的频散方程求解。 原模量比寻根算法将函数f(x)=0转化为求解|f(x)|=0,这种处理方式可以将非零解问题转化为求局部极小值点的问题。 一个单变量函数曲线如图2所示,其中x1和x2分别为区间[a,b]和[c,d]上的局部极小值点,x2同时也是函数f(x)的零点,而x1仅为局部极小值点。因此,根据模量比寻根算法计算得到的极小值点会存在以上情况。在区间[e,f]上有两个解x3和x4,但根据模量比寻根算法的计算,每个区间只能得出一个解,可能导致解的丢失,为此需要对算法进行改进。 图2 单变量函数示意 为了计算极小值点,首先设置沿着x轴移动的扫描区间,然后将区间均匀分成具有离散节点的小段。计算每个离散点处的f(x)值,并比较它们的模,以找出区间中的最小值点。确定函数f(x)的所有极小值点,包括零点,然后逐个计算到这些极小值点的|f(x)|极限,以确定是否为零点。 图2中区间[a,b]上的极小值点x1并非函数f(x)的零点,因此,|f(x1)|是大于0且小于|f(a)|和|f(b)|的值,故必定存在某个有限值P,满足: 区间[c,d]上的点x2是一个零点,即|f(x2)|=0。所以比值|f(c)|/|f(x2)|和|f(d)|/|f(x2)|都为无穷大。因此必然存在某个有限值P,使得: 此处的有限值P可以作为一个阈值,用于判断所找到的极小值点是否为零点。 改进的寻根算法示意如图3所示,在任意频率fn下,沿着k轴设置扫描区间,以获取该频率下的所有波数解。当点Ki+1n+1与点Kin+1之间的差值∆Kin+1小于波数扫描区间的长度时,可能导致解的丢失。为了解决此问题,可以缩小扫描区间的长度,确保每个区间内只存在一个解,但这会显著增加计算时间。改进的模量比寻根算法则是在用原算法求解频率fn-1的第i个波数Kin-1后,设置扫描区间[Kin-1 -∆τ, Kin−1 +∆τ],其中∆τ为波数间隔由频率间隔∆f决定。 图3 改进的寻根算法示意 理论上,当∆f足够小时,可以确保在Kin-1附近存在一个解Kin 。然后,以此类推,设置新的扫描区间,直至找到所有解。这种方法将原算法中的全局扫描改进为局部动态扫描,保持较小的间隔,并根据已知解来寻找下一个解。 数值算例 1 方法验证 为了验证所提方法和程序的正确性,考虑到导波在板材和大径厚比空心圆柱体中传播特性的相似性,计算了大径厚比(η=1000)的单层空心圆柱体的频散和衰减曲线,并与前人研究的厚度为1 mm、密度ρ为1.56 g/cm³的正交各向异性黏弹性板的计算结果进行了比较。 本文研究的结果是基于Kelvin-Voigt模型得出的,材料的特征频率为2.242 MHz。前人研究的结果如图4所示,而本文研究计算得到的大径厚比空心圆柱体的结果如图5所示。 (a) 频散曲线 (b) 衰减曲线 图4 前人研究得到的频散曲线和衰减曲线 (a) 频散曲线 (b) 衰减曲线 图5 本文研究得到的频散曲线和衰减曲线 对比图4a和图5a可见,在低频部分,本文的计算结果与前人研究的结果一致;而在高频部分,本文的计算结果展示的模态更多,这是因为其展示了截止项系数M为7时的所有模态。而对比图4b和图5b也呈现了类似的现象。 2 径厚比的影响 空心圆柱的径厚比η是影响多层空心圆柱体导波特性的重要参数之一。为此研究了径厚比η为2,5,100时,径厚比对导波模态的影响。在不同径厚比下纵向和扭转模态导波的相速度频散曲线和衰减曲线如图6和图7所示。 图6 径厚比对纵向导波模态和扭转导波模态相速度频散曲线的影响示意 图7 径厚比对纵向导波模态和扭转导波模态衰减曲线的影响示意 由图6a,c,e可以看出,径厚比对低阶模态的影响显著,而对高阶模态的影响较小。与平板中的相速度频散曲线不同,空心圆柱体中的低阶模态存在一个截止频率。随着空心圆柱体径厚比的增大,截止频率逐渐减小,当圆柱结构接近平板结构时,低阶模态的截止频率消失。 由图6b,d,f可以看出,随着径厚比的增大,扭转模态的相速度曲线几乎没有变化。相对于纵向模态,扭转模态导波在相同的频厚积范围内显示出更少的模态。 如图7a所示,在径厚比为2时,纵向导波模态的衰减系数(无量纲)在低频段表现出较大的值。随着频率增加,衰减系数逐渐减小,但整体变化较为复杂,多条模态曲线交错。可以看到,部分模态在某些频率范围内的衰减系数变化较大,呈现出明显的模态间差异。 如图7b所示,扭转导波模态的衰减系数在低频段同样较大,且随着频率增加逐渐减小。与纵向导波模态相比,扭转导波模态的衰减系数曲线较为平滑,模态数量较少,且衰减系数的变化趋势较为一致。随着径厚比从2向100增加,纵向导波模态和扭转导波模态的衰减系数在低频段逐渐减小,趋于平板结构的特性。 3 黏性常数影响 根据上述模型和公式,利用LOPE方法和改进的寻根算法求解三层空心圆柱的波动方程,得到其复波数-频率解。三层空心圆柱体的顶层和底层为预浸料,中间层是碳纤维。三层圆柱体的总厚度为1 mm,各层厚度相等。 本文研究了轴对称波的频散和衰减特性,同时还提供了弹性解作为对比。从数值角度来看,在实际弹性圆柱体情况下,有必要代入不完全等于零的µij值。因此,将µij值乘以0.001,将三层圆柱体视为弹性结构。 η=2时的频散曲线和衰减曲线如图8所示,其中黑色曲线表示黏弹性结果,红色曲线表示弹性结果。 图8 黏性常数对纵向模态和扭转模态的影响示意 由图8a和b可以看出,黏性对频散曲线的影响主要集中在大频厚积区间,对低频厚积范围内的模态几乎没有影响。这一现象在纵向和扭转模态中均存在。 图8c和d展示的两种模态的导波也都显示出类似的趋势,即几乎每种模态都会达到衰减最小点。通常,最小衰减出现在截止频率附近。另外图8c和d还表明,对于各个轴对称模态,低频厚积时的衰减较大。随着频厚积的增大,衰减逐渐减小。此外,黏性常数对衰减曲线的影响主要集中在大频厚积区间。 4 三维波数-频率频散曲线 为了更深入地理解导波模态特性,本文计算了完整的三维频谱图,如图9所示,红色曲线代表传播模态,蓝色曲线代表非传播模态。波数的正负代表传播方向,正波数表示导波向z轴正方向传播,负波数则表示导波向z轴反方向传播。纵向模态导波和扭转模态导波的传播模态曲线都关于平面Re(k)=0对称。 图9 黏弹性波导中的三维频散曲线 由图9a可以发现,非传播模态纵向导波的波数k不仅关于平面Re(k)=0对称,还关于平面Im(k)=0对称。这是因为在波动控制方程中,k具有二次项,方程的解具有对称性。 由图9b可以看出,传播的扭转波主要分布在虚部为零的平面上,而非传播模态的波数k几乎是纯虚数。波数的虚部与导波的衰减有关,非传播模态的导波衰减很快,以至于无法传播。 结论 本文探讨了黏弹性多层空心圆柱中的导波特性,包括相速度-频率频散关系和衰减-频率关系等,利用LOPE方法和Kelvin-Voigt模型推导了黏弹性导波的特征方程。然后,通过改进的模量比寻根算法求解了特征方程的复波数-频率解。 数值研究表明,本文方法可以有效求解黏弹性导波的频率-复波数关系,涵盖黏弹性多层各向异性空心圆柱的传播模态和非传播模态。 基于所提出的模型,研究了径厚比和黏性常数对纵向轴对称超声导波的影响。结果表明,径厚比对低阶模态影响显著,而对高阶模态影响较小。 与平板中的相速度频散曲线不同,空心圆柱体中的低阶模态存在一个截止频率。随着空心圆柱体径厚比的增大,截止频率逐渐减小,当圆柱结构接近平板结构时,低阶模态的截止频率消失。 相对于纵向导波,径厚比对扭转模态导波几乎没有影响。对比弹性和黏弹性材料的频散曲线结果,发现黏性常数主要影响频散曲线的大频厚积区域。 来源:《无损检测》2024年12期 第一作者简介:黄梓琦,硕士研究生,主要从事复合材料的超声无损检测研究工作。 通信作者简介:刘宏业,副教授,博士生导师,主要从事智能传感与结构健康监测、物理声学与计算力学研究工作。






