导语
复合材料中常见的损伤类型:
基体开裂
在承受载荷的情况下,基体的脆弱部位会因应力的集中而出现裂纹,随着载荷的增加,材料内部发生塑性变形,裂纹沿缺陷处产生和发展,基体裂缝逐渐扩大。但是在裂纹顶端,没有足够的应力集中来破坏纤维,因此裂纹会沿着纤维持续扩展,在基体与纤维间产生脱胶现象。
界面分层
纤维断裂
01声发射技术原理
当材料或结构体表面发生局部破坏,材料产生能量的释放,以瞬时弹性波的形式由损伤处传播到材料的表面,从而引起材料或结构部件表面的机械振动。这种弹性波向外传播扩散的现象被人们常称为声发射现象,引起能量释放的材料称为声发射源。
声发射技术是使用灵敏度极高的电子仪器对这种声发射现象中产生的弹性波进行采集、记录、并将弹性波转变为电信号。电信号经放大与采集后,得出声发射的特征参数并予以记录、显示,最后对这些电信号数据进行分析,做出正确的解释并得出结果,其原理如下图所示。
02声发射信号分析方法
声发射检测技术所获得的声发射信号,是对被检测对象进行客观评估的基础。由于声发射信号具有非平稳、非线性和时变性等特征,传统的信号处理方法很难得到理想效果。
参数分析法
声发射参数分析是对声发射波形的简化特征参数进行分析和处理,其优势在于简单明了、便于测量,以及能够轻松实现实时监测,对仪器硬件的要求较低,因此在声发射损伤检测中得到了广泛的应用。
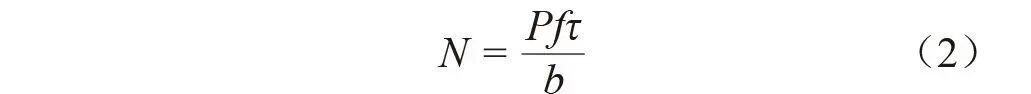
(1) 计数分析法
(2) 幅值分析法
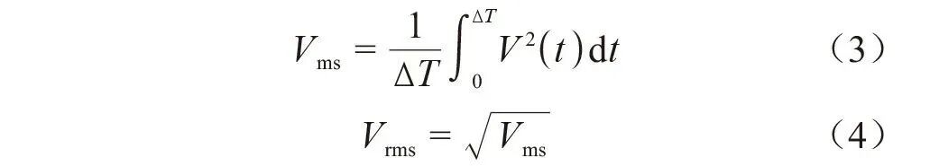
信号幅值与材料中声发射源的强度和材料形变机制有关,常用于区分波源类型、测量和计算声发射源强度和衰减。通过声发射信号的幅值、事件和计数进行分析,得出以下经验公式:
(3) 能量分析法
波形分析法
(1) 谱分析方法
基于傅里叶变换的经典谱分析法融合了相关图法、周期图法以及基于此的改进方法。
现代谱分析方法基于非傅里叶变换分析,通过利用声发射信号的特性,采用适当的参数模型拟合信号并运用特征分离方法进行信号估计,该方法克服了经典谱分析方法的缺陷,提升了谱的分辨率和统计稳定性能。
目前,声发射的频谱分析技术已经在多个应用领域取得了众多具有研究价值的研究成果。谱分析方法要求信号必须呈现周期性的平稳特征,但声发射信号是一种非平稳随机信号。此外,由于谱分析方法无法捕捉短时域信号的局部频域特征,频谱分析误差较大,导致分析效果不尽如人意。
(2) 小波分析法
小波在信号分析中扮演着至关重要的角色,它能够有效地进行信噪分离并提取微弱的信号信息。
小波与小波包分解与傅里叶理论的时域、频域分析不同的是,小波变换既能在时域上又能在频域上对信号的局部特征进行表征,所以它可以展现出某一特定时段信号的频谱信息,并对与其相对应的时域信息进行描述。
人工神经网络模式识别法
随着计算机技术和人工智能的飞速发展,模式识别方法在声发射信号分析中的应用逐渐兴起。模式识别可分为无监督方法和有监督方法,若已知样本的模式类别,则选择有监督学习,反之则选择无监督学习方法。
人工神经网络模式识别分析法运用神经网络对一系列固定输入所对应的输出值进行拟合,建立起输入值和输出值之间的关系,神经网络学习过程具有自我组织、自适应和自我学习的特性,可有效解决声发射信号检测中的噪声问题。
声发射信号模式特征的选取范围广,包含波形参数如幅值、能量、上升时间、频率特征等。人工神经网络不仅可以鉴别不同损伤机制的声发射信号,也可以鉴别噪声和损伤信号。
采用无监督和有监督模式识别相结合的方法,展现出强大的信号分析能力,其辨识程度高、智能化的特点,成为复合材料损伤模式鉴别及其演化过程和损伤机理探讨的有效手段。
虽然人工神经网络识别对信号噪声的分离与故障模式的识别具有很高的可信度,但在声发射探测中,机载计算机的计算量相对较大、运算能力有限,因此目前仅支持实时的傅里叶变换,无法实现高效的模式分类。
03声发射技术在复合材料损伤
诊断中的应用
基于参数分析的应用
基于参数分析法中的计数分析法
能量作为声发射信号的重要特征之一,
在许多研究中作为定量分析的指标
针对碳纤维增强增韧环氧复合材料层压板中裂纹的萌生和扩展,C BAKER等利用模态声发射原理和波形能量,结合峰值频率数据进行研究。结果表明,不同铺层位置的频率相关累积声发射能量曲线与测得的裂纹密度之间存在良好的一致性,表明该方法不仅可以很好地预测复合材料的裂纹密度,还可以预测复合材料中可能出现的铺层类型。而在预测损伤类型方面仍有进步的空间,可增加其他损伤机制进行验证。
M NIKBAKHT等利用声发射数据分析和微观成像方法,研究了双悬臂梁标准试验中,不同界面纤维取向试样不同损伤机制开始及演化的顺序。通过电子显微镜观察的方法,得出载荷曲线和声发射数据在整个损伤过程中与成像结果具有很高的相关性的结论。
针对声发射信号的特征参量-频率
M FOTOUHI等通过实验证明可以用频率特征来区分不同的损伤模式,如基体开裂损伤、界面脱粘损伤、层间损伤和纤维断裂损伤等。
P GROOT等对碳纤维强化复合材料进行测试,得出不同损伤类型的频率由低到高为:基体开裂(90~180 Hz)、纤维拉出(180~240 Hz)、纤维/基体脱胶(240~310 Hz)、纤维断裂(>300 Hz)。
基于参数分析法中的幅值分析法
S WOO等分析了不同铺层结构和不同纤维复合材料体系的单边缘缺口层合复合材料的断裂过程。结果表明高幅值事件率可以很好地描述不同纤维取向的单边缘缺口层合复合材料的断裂过程,并且单边缘缺口层合复合材料中主裂纹扩展的方向受到纤维取向的决定性影响,且与初始缺口方向无关。
皇甫劭炜等同样采用幅值分析法对不同铺层角度的复合材料层合板进行研究,主要对其静态拉伸、静态拉伸过程分段加卸、低周疲劳试验等进行全过程监控,并针对3种实验中试样的损伤形式和损伤演变过程的关联进行了全面分析。结果表明不同铺层角度的大小决定了试件拉伸强度的大小,并且铺层角度不同时试件所对应的损伤破坏过程及声发射信号特性也不相同。
在复合材料损伤模式的分类上,
往往将幅值与频率结合起来作为分类标准
基于波形分析的应用
汪洋等针对绝缘子污秽放电的声发射信号进行研究,将集合经验模态分解方法和希尔伯特变化的方法结合起来,分析了声发射信号的频率特征,有效区分了绝缘子污秽放电的不同放电阶段,实现了模式识别。
针对希尔伯特-黄变换和小波变换在复合材料声发射损伤信号处理中的有效性,阳能军等监测了碳纤维环氧树脂的拉伸实验,并使用两种变换方式对信号进行了预处理,研究结果表明,希尔伯特-黄变换表现出更强的自适应性和更高的时频分辨率,在声发射信号的处理中能更准确地反映不同损伤类型下的信号特征。
对声发射波形进行傅里叶变换和小波变换,
是复合材料损伤领域常用的分析手段
G N MORSCHER利用声发射技术全程监测了二维编织复合材料,对其进行分段加载卸载试验和静载拉伸试验,并对损伤的声发射波形进行傅里叶变换,描述不同的损伤模式。
M GIORDANO等对单根碳纤维增强复合材料在拉伸试验过程中的信号进行了全程监测,并且利用傅里叶变换分析了其频率特征。
利用小波变换的方法,K M BAK等对于单搭接接头拉伸试验的声发射信号进行了特征参量峰值频率的提取,用于表征不同模式的损伤。[A MAREC等]通过多元分析和小波变换方法的结合,对树脂基复合材料试样的损伤数据进行了鉴别和归类。
综上可知,小波变换与信号分析密不可分,并且通过分析其分离出的信号,可以表征各类复合材料损伤的形式。
针对小波包变换法与模糊聚类方法的综合运用
M FOTOUHI等对单向E-玻璃纤维/环氧树脂和E-玻璃纤维布/环氧树脂层合板进行了I型(张开型)、II型(滑移型)和I、II型分层混合实验。实验得出了基体开裂、界面脱粘和纤维断裂不同损伤类型的信号频率。并且在失效模式中,基体开裂和纤维断裂占比较大,纤维断裂的程度在单向层合板和I型分层中更加明显。
针对不同的损伤类型,
为了有效地识别损伤信号
马云阔等利用声发射技术对碳纤维复合材料层合板进行了监测,对其弯曲损伤的过程进行了研究。运用小波包特征熵的分析方法,针对不同的损伤类型,精选出能够准确反映其损伤信号的特征参数,并且得出不同节点的小波包特征熵值的变化是由于不同的损伤类型所引起的结论。
通常声发射信号的时域波形只反映信号幅值随时间的变化关系,傅里叶变换后的声发射信号频谱只反映信号的频率成分,不能反映频率与时间的变化关系。这是因为傅里叶变换是一种全局的变换,要么完全在时域,要么完全在频域,因此无法表述信号的时频局部性质,而时频局部性质恰好是非平稳信号最基本和最关键的性质。
小波分析克服了傅里叶变换不能同时进行时频局域分析、不便于多尺度分析等缺点。它既可描述某个局部时间段信号的频谱信息,也可描述某一频谱信息对应的时域信息,具有良好的时域和频域局部分析特性,但小波基(母小波函数经过伸缩平移得到的函数)不能对信号自适应。
基于神经网络的应用
K-均值聚类算法(K-means)属于无监督聚类算法,即给定一个数据点集合和需要的聚类数目K,根据某个距离函数反复把数据分入K个类别中。在数据没有具体的划分标准时,可以将相似数据放在一起,因此广泛运用在复合材料的损伤分类中。
F PA‐SHMFOROUS等采用K-means聚类算法对声发射信号进行了聚类分析并对样品进行了I型分层试验及扫描电子显微镜观察,以研究玻璃纤维/环氧树脂-聚乙烯泡沫-玻璃纤维/环氧树脂三明治夹心复合材料的性能表现,得到多个损伤模式的声发射信号频率范围,涵盖了芯材开裂、基体开裂和纤维断裂等情况。
LI L等运用声发射技术监测了正交E-玻璃纤维平面织物和环氧乙烯树脂复合材料的单轴拉伸试验。通过主成分分析和K-means++算法,成功地将实验中获得的声发射信号进行了有效分离。由于实验样品呈现透明状态,在拉伸实验过程中,能够直接观察到纤维损伤的变化。对比损伤和实验过程中获得的声发射信号,总结出不同损伤类型的信号特征。低幅值低频率信号对应为基体开裂的特征,高幅值低频率信号对应为层间脱粘,大范围的幅值和高频率信号对应纤维断裂。然而,该方法对于频率的分类仅是一个较大范围的概括,未来可以针对分类的准确性方面进行研究。
结合频谱分析、小波分析和参数分析等多种方法,孟超等对拉伸试验获得的两组声发射信号进行了比较与分析。通过建立破坏形态与失效特性频率之间的相关性,探究其内在联系。结果通过K-means聚类的方法对碳纤维复合材料的拉伸断裂过程可划分为3个阶段,分别是前期、中期以及后期。在加载过程中,前期主要的损伤模式是基体树脂的开裂,中期的主要损伤模式是纤维和基体的分层损伤,而后期主要的损伤模式是纤维断裂。
随着人工智能神经网络的发展,许多研究团队对于算法的对比和分类结果的相同性检测展开了研究。
S K AL-JUMAILI等采用声发射技术对碳纤维预浸料制备的[0/90]2s层合板进行实时监测,采集到其纵向弯曲试验的信号。并采用K-means聚类和模糊C均值聚类算法对收集到的基体开裂以及界面脱粘的声发射信号进行分离。模糊C均值是柔性划分的聚类方法,使用隶属度来表示每个数据之间的关系,即给定一个数据点集合和需要的聚类数目C,通过计算样本的隶属度矩阵使得被划分到同一簇的对象之间相似度最大,而不同簇之间的相似度最小。通过对比显示出这两种无监督算法所获得的分类结果具有相同性。
M SAEEDIFAR等对碳纤维/环氧树脂层合板进行了层间和层内损伤的聚类分析,以探究其缺陷所导致的影响。利用模糊C均值、K均值、高斯混合模型等多种模型,对声发射信号进行聚类分析,并比较不同聚类方法的可重复性。以频率和幅值作为特征输入量来进行对比,结果表明,在对声发射信号进行聚类时,采用层级模型能够获得最佳的性能表现。
在基于声发射技术的复合材料损伤检测中,聚类分析将损伤类型分类后,往往还需建立损伤识别模型,目前使用较多的为BP神经网络模型。
贾辉等为研究玻璃纤维复合材料的损伤模式,基于BP神经网络建立损伤识别模型并进行训练,最终识别率高于90%,对未知损伤具有较好的识别能力,超过红外识别的成功率。
齐添添等对玻璃钢复合材料进行拉伸,通过采集到的声发射信号特征向量建立了3层结构的反向传播神经网络(BPNN),对信号进行分析,结果识别的准确性超过97.5%。
在复合材料的损伤诊断中,往往使用理化试验的方法来进行验证模式识别的结果,其中较为常见的有电子显微镜扫描、傅里叶红外光谱和热重分析等。
王旭利用声发射技术监测了聚乙烯增强复合材料的结构破坏过程。运用K-means算法对作为损伤特征的特征参数进行聚类分析,并将结果与扫描电子显微镜的结果进行对比,验证了试验结论的准确性。
杨璧玲等针对试样(0°、90°和[+45°/-45°])的损伤机制进行分析,使用了无监督模式识别方法对声发射信号进行分析。结果表明,模式识别方法能有效地检测出样品中不同类型的损伤,如基体开裂、界面分层和纤维断裂,识别结果与损伤断面的扫描电子显微镜检测结果完全一致。对于超高相对分子质量聚乙烯/低密度聚乙烯复合材料,试样类型并不影响其声发射信号特征的表现,因为其仅受损伤模式的影响。通过无监督方法,能够有效地区分不同损伤模式的声发射信号,从而清晰地反映出复合材料损伤进程中不同损伤模式的声发射信号累计数与应变之间的关系。
结语
声发射检测技术的应用领域已从获取不同损伤类型对应的声发射信号特征,扩展到从声发射信号预测复合材料强度和断裂模式等各个方面。随着人工智能的不断发展,声发射信号的分析方法也日益成熟,多种分析方法的混合运用已成为一种普遍趋势。
当前所面临的主要挑战在于以下几个方面:
(1)现有的模式识别方法无法将复杂的信号分成几类,因此只能通过区分不同类型的信号来估计信号的类型。在实际数据提取过程中,提取的信号包括声发射信号和由不同的重叠损坏模式产生的噪声。虽然能够识别出当前时刻的主要损伤形式,但并不能推断出潜在的损伤形式。
(2)目前,在去除信号中的噪声方面,尚未有广泛的应用。特别是在测试大型试样或者环境较为恶劣的条件下,噪声是一个极大的问题。考虑到复合材料声发射信号的高度复杂性,模式识别技术可以提供方便快捷的解决方案,因此在噪声去除方面有着广阔的发展前景。
(3)目前,针对基于声发射检测技术的复合材料损伤机理的研究,识别技术的流程已经涵盖了多个方面,这些方面共同构成了整个过程。这其中的各个流程独立性较强,在各自的阶段完成度都较好。但各个流程无法进行同步优化,而且在个别重要阶段需要进行大规模的人为干预来完成。
(4)目前,对于复合材料等幅循环和分级循环加载条件下损伤破坏全过程的声发射规律研究较少,并且对于力学性能和损伤模式的相互关系未能得出一个较为完善的规律总结。
(5)复合绝缘子作为电力行业中不可或缺的重要部分,其机械结构较复杂,组装完成后很难检测到内部芯棒的缺陷。目前,国内外尚没有专门针对绝缘子芯棒的技术规范,对于如何建立合理的性能参数测试方法没有进行规定。
随着人工智能的不断进步,声发射技术在复合材料损伤检测领域也呈现出一系列崭新的发展方向,主要表现在以下几个方面:
工作单位:1. 中国地质大学(北京) 信息工程学院
2. 国网新疆综合能源服务有限公司
3. 国网中国电力科学研究院有限公司
来源:绝缘材料
转自:CCIA 维修检测与回收专委会






