球罐广泛应用于储存和运输液态或气态物料中,因此对制造、焊接和组装的要求较严格,检测工作量大。其中,带有尖锐边缘的平面型缺陷(如裂纹)危险性最大,可能导致重大事故的发生。缺陷尺寸是基于断裂力学评估材料寿命的基础,故缺陷的定量无损检测尤为重要。
超声检测常基于缺陷回波幅值对缺陷进行定位及定量检测。其中,当量法受缺陷形态和声束入射角度的影响,测量结果并不准确;测长法根据缺陷波高和探头移动距离确定尺寸,但受缺陷取向和表面状态影响,测量值一般小于或等于实际值;底波高度法只能测量缺陷在声束入射方向的投影,无法反映真实缺陷的尺寸。
相控阵超声检测(PAUT)通过改变阵元的发射时序控制声场聚焦和偏转,具有良好的检测分辨率和灵敏度。超声波衍射时差法(TOFD)根据缺陷端部衍射波的传播时差来测定缺陷尺寸,具有定量检测精度高的优势。
基于此,宁波市特种设备检验研究院联合南昌航空大学无损检测技术教育部重点实验室的科研人员将相控阵声场控制能力与衍射波成像相结合,提出高强度球罐厚壁结构内部裂纹缺陷的相控阵超声衍射波定量方法。
该方法在相控阵的聚焦声场条件下可进一步高效激发缺陷的衍射波信号,并基于缺陷端部衍射波时差对缺陷进行定位定量检测,可有效提高对各种取向、深度分布的平面型缺陷的定位定量检测能力。
数值模型
为了分析相控阵超声检测过程中超声波在缺陷中的传播特性,基于有限元分析构建相控阵检测模型,通过压电晶片激发超声波,利用延时聚焦法则分别在斜窄槽和竖直窄槽中心区域聚焦,模拟相控阵超声波声场的缺陷响应情况。 二维数值模型结构示意及激励信号如图1所示。该模型组成部分自上到下分别为:阻尼、间距为0.5 mm和中心频率为5 MHz的阵元、匹配层、38°有机玻璃楔块、45 mm厚的高强度钢工件。工件声速为5890 m/s,楔块声速为2337 m/s。 图1 二维数值模型结构示意及激励信号 采用的超声激励信号为汉宁窗调制过的正弦振荡信号,周期为3。网格采用自由三角形网格划分。各阵元按延时聚焦法则发射超声波,超声波通过楔块折射进入工件,使声束聚焦于窄槽中心位置,其计算示意如图2所示。 图2 延迟法则计算示意 窄槽模型中的超声波在13,15,16 μs时的声压瞬态图如图3所示。超声波穿过楔块后在窄槽中心逐渐聚焦,到达窄槽后出现反射波和衍射波。其中,反射波具有明显的方向性,而衍射波源于平面型缺陷尖端,其波阵面接近于球面波,方向性较差。 图3 窄槽模型中的超声波声压瞬态图 因此,相控阵聚焦声场入射至平面型缺陷处后,衍射波因方向性较差更易被接收,而反射波的强方向性导致其只能在特定方向才能被接收到。
定位定量检测机理
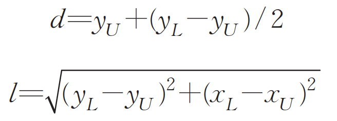
相控阵超声衍射法定位定量原理示意如图4所示,图中(xU,yU)为缺陷的上端衍射波坐标;(xL,yL)为下端衍射波坐标。反射波和入射波呈一定夹角,探头极难接收到反射波,而衍射波的信号和方向性较弱,探头在一定的位置范围内可接收到窄槽衍射波。因此,为了去除缺陷反射波的干扰,可通过移动探头位置(接收方向)避免接收反射波信号。 图4 相控阵超声衍射法定位定量原理示意 根据衍射波图像在扇扫图像中的坐标可计算缺陷的埋深d和尺寸l,计算公式为:
检测系统及试验方法
为了进一步分析相控阵超声衍射波定位定量方法的可行性与准确性,开展检测试验。 试验用相控阵探头中心频率为5 MHz,阵元数量为32,阵元间距为0.5 mm,阵元尺寸为0.5 mm×10 mm,有机玻璃楔块角度为38°,扇扫角度为20°~70°,扫查线角度步进为0.2°。 检测试块材料为球罐用钢材,纵波声速为5890 m/s,横波声速为3240 m/s,试块尺寸为305 mm×60 mm×45 mm。 在距试块左边缘100 mm处加工两个深5 mm,长5 mm,宽0.3 mm的竖直窄槽A和B,方向与检测面呈90°;在试块另一侧相同位置加工同样尺寸的窄槽a、b,方向与检测面呈30°;俯视面为检测面,与前视面和后视面垂直,位置1和2分别为靠近竖直窄槽和斜窄槽的检测位置,当探头置于位置1和2进行检测时,窄槽中心距检测面的实际埋深分别为21,33 mm,试块结构与探头布置示意如图5所示。 图5 试块结构与探头布置示意
检测结果分析
01 -6 dB反射波定位定量检测方法 在位置2处对窄槽a、b进行扇扫成像,聚焦深度分别为20,30,35 mm,增益为21 dB,检测结果如图6所示。 图6 缺陷的−6 dB反射法检测结果 由图6可知,聚焦深度为20 mm时,扇扫图可显示窄槽a、b的反射波图像,由于在窄槽a上聚焦,故窄槽a的幅度高,窄槽b的幅度低;聚焦深度为30 mm时,可显示窄槽a、b的反射波扇扫图像且幅度相差不大;聚焦深度为35 mm时,窄槽a的检测信号变弱且畸变较大。由于窄槽的反射波指向性强,在位置1的检测过程中并未发现竖直窄槽A、B的反射波信号。 采用− 6 dB幅度法对30°窄槽进行定位定量检测,结果如表1所示。 表1 竖直窄槽缺陷定位定量检测结果 由表1可见,测量精度与聚焦深度相关,聚焦深度为20 mm时,窄槽a的测长相对误差最小,为−7.0%;聚焦深度为30 mm时,可兼顾窄槽a和b的测量,测长误差分别为−11.4%和−6.0%;聚焦深度为35 mm时,窄槽a测长相对误差为−52.2%,窄槽b测长相对误差为−11.6%。 因此,在焦距调整到缺陷所在深度时可获得较高的检测精度,反之检测精度变差。 02 衍射波时差定位定量检测 平面型缺陷上下两端部的衍射波图像相互分离,可能被误认为两个分离的缺陷,应结合反射波图像进一步判定。 具体方法为:调整探头位置直至扇扫图像上呈现窄槽缺陷的反射波图像,该图像若连续则认为缺陷为连续缺陷,继续朝远离窄槽的方向移动探头,在对应反射波的位置上找到由窄槽端部衍射形成的相互分离的衍射波图像。 将相控阵探头分别布置在位置1和2处对窄槽进行检测,聚焦深度均设置为30 mm,增益设置为39 dB,检测结果如图7所示。 图7 缺陷的衍射波检测结果 根据上述公式可计算平面型缺陷位置及尺寸,结果如表2所示。在相同增益下竖直窄槽(A、B)的回波幅值比斜窄槽(a、b)的回波幅值低。 表2 窄槽缺陷定位定量检测结果 尽管如此,竖直窄槽的测长精度比斜窄槽的精度高,竖直窄槽和斜窄槽的尺寸平均相对误差分别为0.3%,−3.6%;而竖直窄槽的定位精度小于斜窄槽,竖直窄槽和斜窄槽的埋深平均相对误差分别为2.25%,0.94%。 此外,从测量结果看,测量精度几乎不受深度、平面型缺陷方向及衍射波幅度的影响。 03 反射法与衍射法定位定量结果对比 反射波波幅与衍射波时差的缺陷定位定量结果的对比如图8所示,由于反射法无法对竖直窄槽进行检测,故图中无竖直窄槽的测量数据;对于倾斜窄槽,衍射波法测量结果的相对误差小于反射法测量结果。 图8 反射波与衍射波的缺陷定位定量结果对比 对比分析可知,针对平面型缺陷的检测,衍射法的测量精度显著高于反射法。 结论 (1)在相控阵超声扇扫声场中可有效激发平面型缺陷的端部衍射波信号,该衍射波显示在扇扫图像中并可用于缺陷的定位定量检测。 (2)衍射波法能够检测反射法无法检测的垂直于检测面的平面型缺陷,且检测精度不受平面型缺陷埋深和方向的影响。 (3)相控阵超声衍射波成像法对平面型缺陷的定位定量检测精度显著高于反射法。 作者:王红源1,邱心纪2,邓红星1,张伟1,陈振华2,卢超2 工作单位:1. 宁波市特种设备检验研究院 2. 南昌航空大学 无损检测技术教育部重点实验室 第一作者简介:王红源,高级工程师,主要从事无损检测新技术研究与应用工作。 来源:《无损检测》2025年3期






