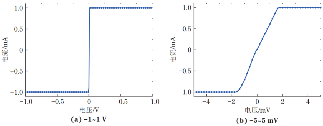
集成电路产业逐步进入后摩尔时代,通过降低半导体器件的特征尺寸来提高其性能的发展路径受到了极大的影响,人们开始探索半导体技术的全段工艺系统级创新。 封装技术是集成电路产业中极为重要的一个环节,开始受到越来越多的关注。倒装芯片封装是一种先进的封装技术,可以减少芯片互联工艺中对引线的限制,有效降低互联线引入的信号延迟和寄生效应,极大提升微电子器件输入/输出(I/O)的密度和效率,已经被广泛应用于各类微电子器件的封装。 随着人们对算力需求的不断提升,超大规模集成电路已经广泛应用于各类电子产品中,由于倒装集成电路结构和工艺的特殊性,此类集成电路常面临各种潜在的失效风险,因此对超大规模倒装集成电路的失效分析具有重要意义。声学扫描技术是一种方便快捷的表征手段,在微电子器件的失效分析中具有广泛的应用。 倒装集成电路 倒装集成电路典型结构如图1所示,从上到下依次为散热金属、热沉、芯片、底充胶和基板。 图1 倒装集成电路结构示意 正面植有凸点焊球的芯片倒扣在基板上,通过焊接工艺将芯片与基板相连。由于芯片与基板的热膨胀系数(CTE)相差较大,器件受到热应力时,芯片与基板的连接处可能会出现断裂,引发器件功能失效。 为了解决热膨胀系数不匹配的问题,通常会在芯片和基板之间注入一层底充胶作为缓冲层。研究表明,底充胶可以有效提升焊点热疲劳寿命,保证器件的可靠性。 底充胶的填充过程主要利用了液体的毛细现象,在完成焊接的芯片一侧滴注适量含有SiO2颗粒的环氧树脂,流动液体在表面张力的作用下,沿着芯片和基板的表面逐渐对二者间的空隙进行充分填充,待环氧树脂完全固化后在芯片和基板之间形成了底充胶。 随着芯片尺寸的增大,底充胶填充过程中不可避免地会出现空洞和分层,进而引起焊点失效,影响倒装器件的性能,因此,目前对于大规模倒装集成电路的失效分析主要围绕底充胶相关的缺陷展开。 声学扫描技术 声学扫描技术主要是利用不同介质的声阻差异来鉴别材料中可能存在的缺陷,可以实现器件内部微小缺陷的快速无损检测,具有非接触性、非破坏性、穿透力强以及对微小缺陷的检测灵敏度高等特点,因此选用声学扫描技术对倒装集成电路开展失效分析。 声学扫描显微镜结构如图2所示。检测时将去除了散热铜片的器件浸没到耦合介质中(通常为去离子水),换能器周期性地发射和接收超声波对样品进行扫描。 图2 声学扫描显微镜结构示意 C扫描是声学显微技术的一种工作模式,其对于孔隙类缺陷十分敏感,可以快速检测出器件中的细小空洞和裂纹等缺陷,在孔隙类缺陷样品的检测和失效分析过程中具有广泛的应用前景。 不同换能器可以产生不同频率的超声波,通常超声波的频率越高,波长越短,最终得到的图像分辨率越高。 常用的换能器超声频率包括30,50,100 MHz,其中30 MHz换能器的焦距为13 mm,轴向分辨率为50 μm,横向分辨率为16.5 μm;50 MHz换能器的焦距为12 mm,轴向分辨率为30 μm,横向分辨率为10 μm;100 MHz换能器的焦距为8 mm,轴向分辨率为15 μm,横向分辨率为5 μm。 不同厚度(200,500,800 μm)的芯片在不同频率换能器下的声学扫描图像如图3所示,其扫描范围分别为15 mm×15 mm,20 mm×15 mm和20 mm×20 mm,不同扫描频率对应的放大器增益已在图中标出。 图3 不同厚度的芯片在不同频率换能器下的声学扫描图像 由图3可以发现,随着换能器频率的提高,器件声扫图像清晰度明显提升;相同频率下,芯片厚度增加时,需提高放大器的增益来保证成像质量;同一厚度的芯片,随着频率的增加,换能器的焦距和景深相应缩短,如果器件的待测范围较大会导致成像不完全,而且高频声波传输中的衰减程度更大,为了保证图片成像效果同样需要提高放大器增益。 因此,在用声学扫描显微镜对元器件进行失效分析时,应选择合适的换能器频率以保证成像质量。 倒装集成电路失效分析 以某型超大规模倒装集成电路为例,研究了声学扫描技术在倒装集成电路失效分析中的应用。 01 底充胶分层 某型倒装集成电路装配至电路板后,在板测试时发现其供电引脚VCCINT对地短路,将器件从电路板上拆下后使用Keithley 4200-SCS型源表对其供电引脚和地线进行测试,不同电压范围内器件VCCINT与地的电流-电压曲线如图4所示。 图4 不同电压范围内器件VCCINT与地的电流-电压曲线 测试电压为-1~1 V,步长为0.01 V,限制电流为1 mA,测试结果如图4a所示,可以发现除了在零点附近,供电引脚对地电流大小基本维持在限制电流左右,疑似为短路现象。 进一步减小电压测试范围至-5~5 mV,步长改为0.1 mV,限制电流为1 mA,测试结果如图4b所示,可以发现器件供电引脚对地电压在-1.6~1.6 mV间呈现典型的电阻特性,通过计算可得其电阻约为1.6 Ω,表明供电引脚对地呈现短路状态。 器件外观、超声扫描图像及失效机理如图5所示。由器件的背面外观可以发现BGA焊球分布均匀,未出现明显的黏连现象,初步排除外焊点熔融短接造成短路的可能。 图5 器件外观、超声扫描图像及失效机理 为了进一步确定该器件的失效机理,首先去除其表面的散热金属盖板。如图5b所示,去除盖板后器件的正面外观图可以发现芯片表面涂有一层灰白色的热沉。为消除热沉的影响,使用有机清洗剂将芯片表面的热沉去除后再进行后续测试。 芯片下的底充胶层缺陷是引起器件功能失效的一个重要因素,为了分析器件的失效原因,使用声学C扫描技术进行检测,扫描对象为芯片下的底充胶层,换能器频率为50 MHz,扫描范围为20 mm×20 mm,放大器增益为15 dB,得到的扫描图像如图5c所示,可以发现底充胶与基板存在明显的分层。 在器件焊接过程中,当焊接温度高于芯片下方凸点焊球的熔点时,焊球会变为熔融状态,若底充胶存在分层,熔融态的焊球会顺着分层孔隙漫延,其原理如图5d所示。 为了检测该器件凸点处是否存在异常,通过机械研磨的方式将器件逐层研磨至芯片下凸点焊球的位置,形貌如图6a所示,可见相邻的凸点焊球间存在明显的熔融黏连。 图6 芯片凸点焊球重熔微观形貌与芯片局部形貌 为了验证芯片本身是否存在异常,通过化学开封的方法对器件进行开封。芯片形貌如图6b所示,检查发现芯片表面无明显的缺陷或过电应力损伤痕迹。 综合上述分析结果可知,芯片下方底充胶存在分层,造成焊接中凸点焊球熔融黏连,导致引脚发生短路。使用声学扫描技术快速确定了底充胶存在的缺陷,明确了失效分析的方向,极大提升了产品故障排除效率。 02 芯片机械损伤 由于芯片、凸点焊料和基板的热膨胀系数不同,热应力引起的芯片机械损伤也是倒装芯片的常见问题,这类损伤通常表现为芯片内部的裂纹缺陷。 某型倒装集成电路装配至电路板后,在板测试时发现多路输入对地开路,将器件拆下使用Keithley 4200-SCS型源表对其中一组输入异常电路进行测试,测试电压为-1~1 V,步长为0.01 V,限制电流为1 mA。 测试得到的电流-电压曲线如图7a所示,可见除了0.1 pA量级的背景噪声外没有检测到明显的电流,该曲线属于典型的开路电流-电压特性曲线。 图7 失效器件的电流-电压曲线、去除热沉后的形貌图、X射线检测结果和声学显微C扫图像 为了探究引起器件输入对地开路的原因,将器件的金属盖板和热沉去除,发现其外观形貌未见明显异常,如图7b所示。 使用X射线对器件的结构进行检测,测试结果如图7c所示,器件的基板及芯片内部结构未见明显缺陷。 大尺寸芯片通常存在较大的应力,应力导致芯片内部出现细微裂纹也是倒装芯片常见的失效模式,为进一步确定器件的失效机理,使用声学显微C扫描技术对其进行检测分析,声扫频率为30 MHz,扫描范围为30 mm×30 mm,放大器增益为13 dB。 声学显微C扫描结果如图7d所示,可见芯片内部存在明显的贯穿裂纹,此裂纹出现在芯片内部且相对较窄,故光学显微镜和X射线未能检测到此裂纹缺陷,但超声波在不同介质的界面处会发生强烈干涉,声学扫描技术对孔隙的检测灵敏度极高,可以探测到芯片内部的细小裂纹。 综合上述测试结果,推断器件的多路输入异常是由芯片裂纹引起的,进一步核查发现该器件的焊接温度偏高,热失配产生的应力使芯片出现了贯穿裂纹,最终导致器件多路输入对地开路。后续通过调整器件装配工艺和焊接温度,有效杜绝了此类失效的发生。 结束语 选取某型倒装集成电路为对象,利用声学显微C扫描技术对其失效机理进行了深入分析,得出以下结论: (1) 声学显微C扫描图像清晰度随着换能器频率的增加而提升;相同频率下,芯片厚度增加时,需提高放大器的增益来保证成像质量;相同厚度的芯片随着换能器频率的增加,同样需要提高放大器增益来确保图像质量。 (2) 声学扫描技术可以无损检测出倒装集成电路内部的空洞、分层及裂纹等缺陷,准确快速地定位和分析失效原因;该技术可为倒装集成电路的质量控制和可靠性评估提供有力的技术支撑。 作者:李登科,王高凯 工作单位:中国空空导弹研究院 第一作者简介:李登科,硕士,高级工程师,主要从事集成电路无损检测方向的研究工作。 来源:《无损检测》2025年2期






